Abstrato
Vírus e outros micróbios podem ser inativados de forma seletiva, submetendo-os a um campo elétrico oscilante de frequência adequada. Royal R. Rife descobriu esse método há cerca de 100 anos. Provou sua eficiência por meio de microscópios de alta resolução e em 1934, por testes clínicos controlados. No entanto, esses resultados pareciam inacreditáveis, uma vez que o mecanismo subjacente ainda não era compreendido. Na verdade, somos confrontados com três problemas: 1) o funcionamento dos supermicroscópios de Rife, 2) sua observação de que as bactérias podem sofrer redução de tamanho e 3) o fenômeno de ressonância decisiva. Explicamos a alta ampliação e o poder de resolução dos microscópios de Rife e mostramos que novas descobertas confirmam que o postulado de formas invariáveis de bactérias tem que ser abandonado. Então provamos que oscilações forçadas de picos de vírus levam a uma ressonância peculiar, por causa de efeitos não lineares. Causa destruição total do vírus pela ruptura do seu revestimento. A mesma teoria se aplica a bactérias e nanobactérias, devido ao seu pili. A pandemia mundial de coronavírus, a constante ameaça de mutações imprevisíveis e as explicações agora disponíveis devem tornar óbvio que os métodos biofísicos não podem mais ser negligenciados.
1. Introdução
Royal Raymond Rife (1888-1971) foi um inventor científico de destaque, que queria ajudar a humanidade descobrindo e lutando causas ainda desconhecidas de doença e morte. Suas realizações e a oposição que ele encontrou foram descritas no notável livro de Barry Lynes. Em sua juventude, Rife ficou impressionado com as descobertas de Louis Pasteur e Robert Koch durante a segunda metade do século 19. Eles usaram microscópios para ver micróbios letais. Eles poderiam então isolá-los e cultivá-los. Quando as entidades resultantes causaram sempre a mesma doença após ciclos repetidos, o próximo passo era encontrar vacinas específicas para ajudar o seu reconhecimento pelo nosso sistema imunológico. Rife suspeitava que o câncer também resulta de micróbios, mas que eles são muito pequenos para serem vistos por meio de microscópios ópticos padrão.
Esta limitação resulta da natureza de onda da luz. Isso leva a efeitos de interferência. O físico Ernst Abbe, trabalhando para a Carl Zeiss Company, estabeleceu mesmo em 1873 uma relação entre o melhor poder de resolução possível de microscópios ópticos e o comprimento de onda da luz. É, na melhor das hipóteses, aproximadamente λ/3, onde λ é o comprimento de onda para a luz visível. O limite é, portanto, de cerca de 180 nm, mas para luz ultravioleta ultra violeta, λ < 400 nm. A Carl Zeiss Company desenvolveu assim microscópios de fluorescência UV. A fonte de luz era uma intensa lâmpada de arco elétrico e a luz UV estava concentrada no espécime por meio de lentes de quartzo. Uma vez que a amostra converteu esta luz por fluorescência em luz visível, o objetivo e ocular eram lentes de vidro. Em 1913, a Carl Zeiss Company estava pronta para vender este novo tipo de microscópios.
Rife começou em 1917 para construir um microscópio melhor para a luz visível e terminou em 1922. Ele ampliou até 17.000 vezes, enquanto os melhores microscópios ópticos padrão só poderiam chegar a 2000 a 2500 vezes. Além disso, as imagens foram bem contraídas, com alta resolução sem precedentes. Como isso foi alcançado permaneceu um quebra-cabeça não resolvido. Rife construiu microscópios ópticos ainda mais poderosos. Seu segundo foi concluído em 1929 e o terceiro em 1933. Ele chamou isso de “microscópio universal”, por causa de sua grande adaptabilidade. Podia ampliar até 60.000 vezes.
Esses supermicroscópios permitiram que ele fizesse descobertas extraordinárias, mas contradiziam as crenças das autoridades médicas. Usando apenas microscópios convencionais, eles não conseguiram observar o que Rife viu por meio de seus supermicroscópios. Além disso, Rife descobriu o micróbio do câncer, embora fosse geralmente assumido que o câncer não é uma doença infecciosa. A ciência progride, é claro, descobrindo fatos anteriormente desconhecidos e explicando-os, mas isso pode exigir a correção de suposições anteriores. Infelizmente, é muito difícil modificar ideias profundamente enraizadas. Um dos objetivos deste artigo é ilustrar esse fato analisando as descobertas e conquistas de Rife, para mostrar a complementaridade dos métodos experimentais e teóricos.
Alegou-se, por exemplo, que é impossível alcançar a alta resolução do microscópio de Rife, repetindo a teoria padrão. Também é incorreto acreditar que Rife suprimiu os efeitos de interferência. O Prêmio Nobel de Química de 2014 foi realmente concedido para o desenvolvimento de microscopia de super-resolução. Isso foi conseguido usando lasers poderosos, enquanto Rife teve sucesso com meios puramente clássicos. No entanto, seu nome foi eliminado da literatura médica e científica oficial.
Felizmente, alguns documentos foram preservados e sua análise nos ajudou a descobrir o segredo que escapou da atenção. Além disso, eles fornecem informações em primeira mão sobre as descobertas que Rife fez com seu novo microscópio. O primeiro dizia respeito à existência de “nanobactérias”, resultante da redução de tamanho de bactérias conhecidas. Elas são mais virulentas, mas Rife descobriu também um método para destruí-las, por ressonância. Para observar ambos os fenômenos muito claramente, ele construiu os microscópios mais poderosos. O tamanho das bactérias típicas é da ordem de 1000 nm. Para os vírus, varia de cerca de 400 a 20 nm, mas sua existência já havia sido estabelecida por volta de 1900 por meio de filtros de porcelana com poros muito estreitos. O filtrado não continha bactérias, mas permaneceu virulento. Este fato justificou a convicção de Rife de que essas entidades misteriosas deveriam ser observáveis por meio de microscópios melhores.
Uma descrição de seu microscópio universal foi publicada em 1944 por uma revista científica. Ele também mencionou outros novos microscópios ópticos e comparou-os com microscópios eletrônicos, desenvolvidos em 1930. Sua ampliação é maior e permite, por exemplo, determinar o tamanho do vírus da poliomielite. São apenas 30 nm. O diâmetro do núcleo esférico do vírus Covid-19 é de 85 nm e carrega picos de 20 nm. No entanto, os microscópios eletrônicos só podem produzir imagens de micróbios mortos. O artigo de 1944 insistiu, assim, sobre o “grande interesse” do novo tipo de microscópios ópticos, uma vez que permitem que os cientistas penetrem no mundo invisível do organismo minucioso e causador de doenças quando ainda estão vivos e ativos.
Isso foi essencial para Rife, mas como ele adquiriu a competência para suas realizações aparentemente impossíveis? Sabemos que ele começou os estudos médicos em 1905 na Universidade John Hopkins, em Maryland, mas não concluiu. Seu objetivo era construir o mais rápido possível um microscópio melhor e encontrar o micróbio do câncer. Foi relatado que ele se casou em 1912 e mudou-se para San Diego, Califórnia. Falando alemão, ele viajou muitas vezes antes da Primeira Guerra Mundial para a Alemanha pela Marinha dos EUA. Rife forneceu informações confiáveis em 1960, respondendo a 137 perguntas do advogado de seu colaborador John Crane. Ele estava em julgamento, já que a poderosa Associação Médica Americana (AMA) decidiu abolir a terapia do câncer Rife/Crane. Foi declarado falso, mesmo sem examinar os métodos e resultados de Rife. Após o julgamento de Rife, orquestrado já em 1939 pela AMA, ele foi forçado a parar sua pesquisa. Ele estava falido e desesperado. Seu laboratório foi invadido. Seus microscópios foram tornados inutilizáveis e os documentos foram roubados. Eles também incluíram filmes do comportamento dos minúsculos seres vivos que Rife tornou visível. Ele se refugiou no México. Mesmo suas respostas escritas de 1960 não foram autorizadas a comparecer ao tribunal durante o julgamento de Crane em 1961, mas foram conservadas.
Rife respondeu (para questionar Q.38) que ele adquiriu sua experiência em óptica, trabalhando por 6 anos com Hans Lukel, que foi cientista da Carl Zeiss nos EUA. Rife menciona lá também que ele fez “todas as fotomicrografias para o Atlas dos Parasitas que foi feito na Universidade de Heidelberg”. Este livro foi publicado em 1914 e continha mais de trezentas litografias coloridas. Nossas investigações nos arquivos das universidades de Heidelberg e Gie’en, bem como no Suporte de História da Carl Zeiss em Jena, não revelaram vestígios registrados ou de fácil acesso. Os autores do livro só agradeceram seus colegas acadêmicos. De qualquer forma, levou nove anos antes de Rife se sentir pronto para começar sua própria pesquisa (Q.39). A ligação fornece fotografias de seus microscópios e a cópia de um certificado, onde o Instituto de Pesquisa Científica da Expedição Antropológica Andina reconheceu as “excelentes contribuições para a ciência” de Rife e a atribuição de uma Bolsa de Pesquisa em bioquímica. Rife confirmou isso (Q.135-137) e acrescentou que estudou bacteriologia na Universidade John Hopkins (Q.56). Ele adquiriu lá um diploma de doutorado, uma vez que ele assinou um artigo científico com este título e foi muitas vezes chamado Dr. Rife.
Quando ele estava ficando sem recursos financeiros, ele assumiu um emprego como motorista do multimilionário Henry Timken. Ele fabricava rolamentos de esferas e Rife fornecia uma maneira de controlar sua qualidade construindo uma máquina de raios-X. Timken valorizava sua criatividade e habilidades técnicas, demonstradas de várias maneiras. Impressionado com a competência de Rife e sua forte motivação para construir melhores microscópios para identificar o micróbio do câncer, Timken ofereceu-lhe um laboratório em Point Loma, Califórnia, com equipamento completo e apoio financeiro.
Rife construiu ali seus microscópios e o porão forneceu instalações para 1000 animais com ar condicionado precisamente controlado (Q.10). Havia cerca de 800 ratos albinos, mas também porquinhos da Índia e coelhos (Q.59). Em 1929, um jornal local publicou um artigo sobre o extraordinário microscópio de Rife e suas fascinantes descobertas. O jornalista elogiou sua competência em bacteriologia, química, metalurgia e engenharia. Rife tinha desenvolvido métodos para observar e documentar entidades vivas anteriormente não observáveis. Ele encontrou até uma técnica para destruir micróbios nocivos, mas “se recusa a ganhar dinheiro com isso”. Ele está preocupado com a ciência pura e quer libertar a humanidade do câncer e outras doenças terríveis.
Em sua entrevista, Rife fornece detalhes importantes sobre sua pesquisa e as dificuldades que encontrou. Ele usou tecidos cancerígenos e preparou mais de 15.000 slides, já que estava convencido de que seu microscópio deveria permitir que ele visse o micróbio que causa câncer, mas ele permaneceu oculto. Ele tentou inúmeras moléculas para colorir e isso durou mais de 10 anos, sem sucesso (Q.22). Eventualmente, ele pensou que substâncias químicas poderiam destruir os mini-micróbios e, portanto, começou a explorar outras capacidades de seu microscópio. Embora isso fosse demorado, permitiu-lhe selecionar uma cor que tornasse os micróbios visíveis por sua própria luminescência, sem ter que adicionar alguma substância corante. Também foi necessário descobrir um método para multiplicar os micróbios que ele esperava estar presente no tecido do câncer. Ele descobriu que eles tinham que ser cultivados no “meio K”, desenvolvido pelo microbiologista Arthur Kendall. Este meio é baseado em proteínas, mas pobre em peptones (políptídeos e aminoácidos). Era superior a todos os outros (Q.29 e 30). No entanto, o avanço decisivo foi quase acidental.
“Depois de muitos procedimentos longos e tentativas malsucedidas”, Rife colocou fortuitamente um tubo de ensaio perto de um tubo de descarga do argônio. Ele ioniza o ar e produz íons O−2, tornando-se ozônio. Rife notou alguma nebulosidade, mas o microscópio não revelou nada de especial. Após a incubação durante 24 horas a 37,5o no meio K, a solução foi “repleta de vírus do câncer”. Essas entidades eram muito pequenas e móveis, mas facilmente discerníveis por meio de sua fluorescência arrojada. Sua proliferação resultou de submeter bactérias ao estresse. Como Rife estava procurando essas entidades misteriosas durante muitos anos, ele as chamou de bactérias X ou simplesmente “BX”. Para verificar se eles realmente causaram câncer, ele inoculou ratos albinos com uma solução, derivada do tecido do câncer de mama humano. Em quase 3 a 4 dias apareceu uma lesão no ponto de inoculação na glândula mamária desses ratos. O exame patológico revelou malignidade típica. Rife mencionou que o mesmo procedimento foi repetido 411 vezes com resultados idênticos (Q. 24). Ele queria ter certeza absoluta.
O culpado do câncer ou pelo menos uma nova causa possível foi assim descoberto. Era uma pequena partícula ovóide, de cerca de 50 nm de largura e 70 nm de comprimento. Sua mobilidade indicava que era flagelada. Rife observou também com seu supermicroscópio que essas entidades BX poderiam ser transformadas novamente em bactérias ou fungos, de acordo com o meio onde viviam. Na sua forma reduzida, eles não podiam ser destruídos por radiação UV ou raios-X, mas foram mortos após dois dias a 42oC. O artigo do jornal atraiu a atenção do Dr. Arthur Kendall, que tinha desenvolvido o meio K. Ele era professor e chefe do departamento de bacteriologia da Universidade Northwestern, em Chicago, e queria verificar a realidade dessas alegações surpreendentes.
Ele convidou Rife em 1931 para trazer seu microscópio para sua instituição, onde ele usou um tipo de bactéria que ele mesmo cultivou. Em seu “estado filtrado”, eles apareceram no escopo de Rife como pequenos grânulos de cor azul-turquesa. Essas observações foram tão surpreendentes que todo o procedimento foi repetido oito vezes. Em 1931, Prof. Dr. Kendall publicou com Rife um artigo que descrevia esses experimentos e seus resultados. Kendall foi então convidado para falar em 1932 em uma reunião da Associação de Médicos Americanos. O Dr. Thomas Rivers, virologista da Fundação Rockefeller, tentou cancelar a conversa de Kendall. Isso não foi aceito, mas Rivers foi imediatamente ao pódio depois de sua conversa para expressar oposição feroz. Ele impressionou o público ao se atrever se dirigir ao Dr. Kendall como se fosse um mentiroso.
O Dr. Rios e o Dr. Zinser, bacteriologista de Harvard, tentou reproduzir os resultados de Kendall. Eles usaram o meio K, mas suas observações foram feitas com microscópios ópticos convencionais. Sem o supermicroscópio de Rife e seu método para provocar luminescência, eles não conseguiram ver as nanopartículas relevantes. Além disso, eles acreditavam no monomorfismo, defendido por Louis Pasteur. Ele atribuiu doenças infecciosas a bactérias de tamanho e forma específicas. Um postulado semelhante é usado para classificações em botânica e zoologia, mas a metamorfose não é impossível. Desde que Rife e Kendall estavam enfrentando ideologia, Dr. Edward Rosenow, que liderava o programa Experimental de Bacteriologia da Fundação Mayo em Rochester, Minnesota, queria verificar os fatos. Ele passou 3 dias no laboratório de Kendall, onde o microscópio de Rife ainda estava instalado e relatou suas observações na Science. Ele escreveu: “Não pode haver nenhuma questão da existência de corpos azuis turquesa filtráveis”. Eles aparecem em grande número em filtrados de culturas de tecidos infectados e constituem um “estágio no desenvolvimento de microorganismos”.
Rife mencionou em sua entrevista que as entidades BX estão se movendo ativamente (Q. 51), mas que ele encontrou um método para “desvitalizar todos os microrganismos como desejado” (Q.19). Foram necessárias ondas EM de frequência particular, dependendo do tipo de micróbios. Essa frequência foi determinada observando os micróbios com seu microscópio (Q.76). Alguns tipos então “explodiram ou se desintegraram” e outros tipos se agregaram (Q.80). Isso aconteceu para vários tipos de bactérias (Q.78), mas nunca foram afetadas por frequências inadequadas (Q.118). Esta observação levou ao desenvolvimento da “máquina de raio”. Sua produção foi continuada por John Crane quando Rife fugiu para o México, mas Crane foi processado. A AMA acusou-o, embora se recusou a testar seu sistema (Q.131). A Sociedade Americana do Câncer estava interessada, até descobrirem que Crane e Rife não eram médicos (Q.127).
No entanto, o Dr. Milbank Johnson, professor de Fisiologia e Medicina Clínica da Universidade do Sul da Califórnia, reuniu em 1934 um Comitê de Pesquisa para testar a eficiência clínica da terapia do câncer de Rife. Foram selecionados 16 pacientes terminais com diferentes tipos de neoplasias malignas e tratados com o instrumento que produziu um campo elétrico oscilante da frequência necessária para desativar as entidades BX. As sessões duraram apenas 3 minutos, todos os três dias. Os pacientes não sentiram dor nem qualquer outra sensação, mas “o vírus ou bactéria é destruído e o corpo então se recupera”. O intervalo entre os tratamentos foi necessário para eliminar os detritos tóxicos. “Após três meses, 14 desses casos sem esperança foram diagnosticados como clinicamente curados pela equipe de cinco médicos”. Outros participaram da visão geral deste teste e o patologista do grupo, Dr. Foord, certificou a cura. Os outros dois pacientes foram curados após mais 20 dias. A primeira clínica de câncer que usou a tecnologia Rife foi aberta em 1934 e a Rife Beam Ray Company estava operando em 1938. Isso foi intolerável para a poderosa AMA. A indústria farmacêutica capitalista também queria impedir o desenvolvimento de formas alternativas de tratamentos médicos, é claro, mas tinha apenas que incentivar o pedido da AMA de proibição legal e o uso de outros métodos de coerção. Este procedimento foi analisado no contexto da antropologia social, relacionada à ciência e tecnologia. É necessário, de fato, perceber que era profundamente injusto, não científico e até prejudicial, impedindo a possível cura.
A estrutura deste artigo resulta da necessidade de resolver três problemas básicos. A seção 2 descreve o supermicroscópio de Rife e explica seu funcionamento. A seção 3 justifica o conceito de pleomorfismo. A Seção 4 fornece uma explicação científica detalhada do mecanismo físico de destruição de micróbios-alvo por ressonância. Esta parte ilustra também a utilidade do raciocínio físico para resolver enigmas científicos, mesmo na medicina. A seção 5 apresenta conclusões e algumas recomendações.
2. Supermicroscópios ópticos
2.1- Microscópio Universal de Rife
Os princípios básicos da microscopia resultam das leis da óptica geométrica. Todos os raios de luz que emergem de um ponto A e passam por uma lente L convergem no ponto A’. Para determinar sua posição, basta considerar dois raios, como mostrado na Figura 1. O raio que passa pelo centro de uma lente fina não é desviado, enquanto o raio que passa pelo ponto focal F é refratado pela lente para se tornar paralelo ao seu eixo de simetria. Isto aplica-se mesmo a combinações de lentes finas. A posição da imagem A’ de A é determinada por 5 parâmetros: suas distâncias D e d do plano da lente, suas alturas H e h acima e abaixo do eixo de simetria, bem como a distância focal f da lente L. Na verdade,
As relações análogas aplicam-se à segunda lente L’. Uma vez que os raios que emergem de A e passam por essa lente são refratados como se eles tivessem surgido de I, esta é uma imagem virtual. A ampliação global é o produto das ampliações fornecidas pelas lentes objetiva e ocular.
Rife modificou este sistema para obter uma ampliação muito maior, aumentando a distância D. Ele fez isso intercalando muitos prismas, conforme indicado na Figura 2. Nós representamos lá apenas um feixe estreito de raios, formando um feixe que coincidiria com o eixo de simetria se não fosse desviado. Rife afirmou em sua descrição que o feixe foi submetido a “21 curvas de luz”. São apenas 20
Figura 1. Formação sucessiva de duas imagens A’ e I do ponto A em microscópios ópticos.
Figura 2. Rife alcançou grande ampliação, aumentando a distância D entre a lente L e A.
prismas, mas a imagem A’ também produz um desvio para produzir a imagem I. Rife insistiu que os raios de luz devem permanecer quase paralelos, embora os raios que emergem da lente L estejam convergindo. Os prismas de 90o, portanto, não apenas agiam como espelhos. Um de seus rostos era um pouco côncavo. Toda vez que os raios tendiam a se encontrar, eles eram assim menos convergentes. Este estratagema exigiu uma precisão extremamente alta, uma vez que o desvio total do ideal não poderia exceder um comprimento de onda.
A distância que os raios de luz viajavam em ziguezague era de 449 mm, enquanto o comprimento do barril era de apenas 229 mm. Para microscópios usuais é de 160 a 190 mm. Todos os prismas e lentes foram feitos de quartzo de geleira em bloco. O barril e os parafusos eram feitos de “magnalium”. Esta liga AL/Mg era muito cara, mas tem o mesmo coeficiente de dilatação térmica que o quartzo. A Figura 1 mostra que ambas as distâncias focais f e f’ devem ser tão pequenas quanto possível. Rife optou assim por um par de objetivos idênticos e de alta qualidade com lentes de quartzo, desenvolvido pela Zeiss. Por que Rife não seguiu a tendência contemporânea de melhorar a resolução usando luz UV? Não seria convertido em toda parte em luz visual quando passa pelo espécime, mas é perigoso para observação visual. Embora pudesse ser eliminado por um filtro, Rife preferiu usar uma fonte de luz normal, já que sua intenção inicial era usar coloração química.
Rife sabia que a fluorescência molecular resulta de processos representados na Figura 3 (a). As curvas mostram como a energia E depende do parâmetro de estrutura s para o estado fundamental e o primeiro estado excitado. Fótons de luz azul ou ultravioleta próxima podem, portanto, excitar um elétron do estado fundamental mais provável para outro estado possível. A molécula modifica então sua configuração antes de emitir um fóton de menor energia. Como a absorção e a emissão de um fóton são processos instantâneos, eles são representados por transições verticais. Há também estados vibracionais, levando a bandas espectrais em vez de linhas, mas podemos simplificar o gráfico, já que o ponto essencial é que as moléculas, que podem perder rapidamente qualquer excesso de energia, podem perder rapidamente qualquer excesso de energia. No entanto, era necessário que a fonte de luz pudesse fornecer luz de qualquer cor necessária para obter fluorescência ideal.
Um arco elétrico é uma fonte de luz muito intensa, mas existem linhas espectrais. Rife preferiu, portanto, um filamento incandescente. Ele produz um espectro contínuo, e Rife utilizou um filtro especial para selecionar a cor adequada. Ele foi inventado em 1889 pelo oftalmologista Risley e está representado na Figura 3 (b). De fato,
Figura 3. (a) A luminescência molecular é ótima quando excitada pela luz de uma cor específica. (b) Ela foi selecionada por um filtro de Risley. (c) O segredo de Rife era um filtro preciso próximo a A’.
Dois prismas idênticos de 90° podem ser girados um em relação ao outro, enquanto suas faces oblíquas permanecem em contato. Na incidência normal, a luz é refratada apenas na interface. Isso leva à dispersão, mas ao girar os prismas um em relação ao outro, obtemos apenas luz de uma cor específica que sai do segundo prisma na incidência normal. Como o quartzo é birrefringente, o ângulo de refração depende não apenas da cor, mas também da polarização das ondas de luz. Rife poderia, assim, produzir luz polarizada de qualquer cor desejada. Isso é útil para mineralogia, pois fatias finas revelam as partes coloridas.
A Figura 3 (c) representa o filtro de precisão que Rife colocou antes da primeira imagem A’, mas ele não o mencionou em seu diálogo com Crane. Ele afirmou lá (#43) que o microscópio universal tem “uma resolução de 31.000 vezes e uma ampliação de 60.000 vezes”. Esses valores foram frequentemente repetidos, sem explicar como foram determinados, mas Rife mencionou que ele usou uma lâmina revestida de prata Zeiss, carregando 800 linhas por mm com definição perfeita. Elas foram então separadas por 1,25 μm. Sob um microscópio padrão, apareceram 40 a 60 dessas linhas com distorções, devido à aberração esférica das lentes. “Sob o microscópio universal, vemos apenas 1 a 3 linhas e elas são perfeitamente paralelas através de todo o campo” (#44 e 45). A maior ampliação manteve apenas a parte central das imagens usuais. Rife afirmou que “a resolução é de 31.000 vezes”, o que é incomum, mas considerou que a nitidez da imagem atingiu pelo menos metade da separação das linhas.
A alta resolução permaneceu muito intrigante, uma vez que Feynman observou em suas famosas palestras sobre física (I, 27-7) que poderíamos construir um “sistema de lentes que amplia 10.000 diâmetros, mas ainda não poderíamos ver dois pontos muito próximos”. Já mencionamos que o poder de resolução dos microscópios ópticos é limitado por efeitos de interferência. No entanto, Rife respondeu apenas à pergunta de Crane sobre esse limite (#43) que a falta de nitidez é devido a “fatores de erro que entram no campo da óptica pela iluminação e coisas de todos os tipos”. O uso de um filtro de precisão pouco antes da primeira imagem não foi mencionado. Mesmo no artigo de 1944, Rife observou apenas que “se alguém perfurar uma tira preta de papel ou papelão com a ponta de uma agulha e então aproximar o cartão do olho de modo que o buraco fique no eixo óptico, um pequeno objeto brilhantemente iluminado parecerá maior e mais claro, revelando detalhes mais finos”. Esta dica não foi percebida, mas o método de Rife é equivalente a uma descoberta recente, que mereceu até um prêmio Nobel.
2.2- Microscópios modernos de alta resolução e difração
Stephan Hell, que foi pioneiro no uso de lasers para microscopia óptica de alta resolução, explicou a ideia básica em sua palestra no Nobel. Ele começou sublinhando a vantagem da microscopia óptica minimamente invasiva em relação à microscopia eletrônica. No entanto, a resolução dos microscópios ópticos é limitada e “os cientistas acreditaram ao longo do século XX” que essa barreira não pode ser superada”. O conhecimento da conquista de Rife havia sido eliminado, mas Hell pensou que “tantos fenômenos novos foram descobertos” que uma resolução maior de microscópios ópticos deveria ser realizável. Ele estava ensinando química biofísica em Göttingen e atribuiu a dificuldade ao fato de que a luz é emitida por diferentes moléculas dentro de um pequeno volume da amostra. Elas saem juntas e emitem luz pelos processos moleculares que foram representados na Figura 3 (a). Como é impossível excitar apenas um grupo muito pequeno de moléculas, ele tentou descobrir se podemos “conseguir manter algumas moléculas escuras”.
Buscando uma resposta para essa questão, ele descobriu que a física conhece a emissão estimulada de radiação. Einstein descobriu esse fenômeno em 1917, provando que ele explica o espectro de Planck da radiação EM em um forno ou qualquer cavidade a uma temperatura suficientemente alta. Com lasers, é possível silenciar moléculas excitadas por “depleção de emissão estimulada” (STED). Esse processo é representado de forma simplificada na Figura 4 (a). A luz laser azul (1) de intensidade moderada é absorvida por uma molécula. Um elétron é então elevado do estado fundamental S0 para o primeiro estado excitado S1 . A molécula relaxa, alterando sua configuração. A linha interrompida representa essa perda de energia, uma vez que é suficiente representar o estado excitado inicial e final para explicar a Figura 3 (a). A emissão de luz resulta da transição (2) na Figura 4 (a), mas a emissão estimulada (2′) pode ser causada por luz laser intensa de frequência adequada. O estado excitado é então constantemente esvaziado e a emissão de luz normal é extinta.
A Figura 4 (b) representa os domínios espaciais de iluminação por meio dos dois lasers. Essas distribuições de luz não podem ser pontuais, mas é possível produzir uma mancha de luz azul (1) e sobrepor um anel de luz verde muito intensa (2′). Isso elimina a emissão de luz neste anel, deixando apenas o pequeno ponto central onde a emissão de luz (2) ainda é possível.
Quebrado o encanto, outros cientistas abordaram o mesmo problema nas duas últimas décadas e descobriram diversos métodos para resolvê-lo. Esses métodos foram revisados de forma abrangente e interessante. A técnica básica consistia sempre em separar a emissão de luz no espaço ou no tempo. Como Rife conseguiu, já na década de 1920, atingir alta resolução sem lasers? Para compreender esse fato, é útil retornar ao básico.
A observação cuidadosa de Grimaldi, em 1660, da sombra projetada por uma haste revelou que ela não pode ser explicada pela óptica geométrica, a menos que os raios de luz que passam perto de obstáculos sejam divididos (pelo menos) em dois raios. Isso levou ao conceito de “difração”.
Figura 4. (a) Transições entre níveis de energia, usadas para microscopia de alta resolução pelo método de depleção por emissão estimulada (STEP). (b) Iluminações sobrepostas e a emissão resultante.
Grimaldi já pensava que a luz não poderia ser constituída de partículas que se movem em linhas retas em qualquer meio homogêneo. O famoso experimento da dupla fenda de Young, de 1801, provou que a luz se propaga como ondas. Na época, acreditava-se que existiam “ondas de luz”, mas Planck descobriu em 1900 que existem grãos de energia luminosa e Einstein provou em 1905 que eles são partículas. Esses fótons nem sempre se movem ao longo de uma única trajetória bem definida, mas também permitem interferência.
Em 1815, Fraunhofer descobriu linhas espectrais na luz solar ao aprimorar a qualidade de lentes e prismas, mas também utilizou grades com muitas fendas estreitas equidistantes. A interferência resultante decompõe a luz branca em cores diferentes. Fraunhofer descobriu que uma única fenda produz também um conjunto de franjas de interferência próximas umas das outras. Mesmo quando a luz encontra uma tela com um pequeno orifício circular de raio r, como mostrado na Figura 5 (a), ela produz um ponto brilhante de luz cercado por anéis mais fracos. Fresnel explicou esse fato em 1819 considerando que todos os pontos dentro desse orifício emitem ondas de luz esféricas, mas no eixo de simetria, eles sempre interferem construtivamente uns com os outros. A Figura 5 (b) mostra que, para o ângulo θ em relação ao eixo de simetria, a luz emitida por qualquer par de pontos radialmente separados pela distância r interfere destrutivamente para luz monocromática de determinado comprimento de onda λ, quando
Para outros ângulos, as amplitudes das ondas não são opostas entre si. Fresnel calculou a variação resultante da intensidade da luz e descobriu que ela varia conforme indicado na Figura 5 (c). É igual ao quadrado de uma função de Bessel. As setas definem a largura do ponto central, resultante da relação (2).
Estrelas distantes são fontes de luz pontuais, mas para telescópios, sua imagem é um ponto de luz cercado por anéis de intensidade decrescente. Isso foi comprovado em 1835 e levou ao termo “disco de Airy”. Ele é representado na Figura 6 (a), quando as intensidades de luz são representadas em inversão preto/branco. A Figura 6 (b) lembra que todos os raios de luz que emergem do ponto A e atravessam a lente L convergirão para o ponto A’. Ernst Abbe percebeu em 1873 que um microscópio é, portanto, equivalente a um orifício circular de raio
Figura 5. (a) A luz que passa por uma pequena abertura circular causa interferência. (b) Ela é sempre destrutiva para um ângulo particular θ. (c) A distribuição angular da intensidade de luz resultante I produz uma mancha central, cercada por anéis luminosos mais fracos.
Figura 6. (a) Imagem em preto e branco de um disco de Airy. (b) Formação da primeira imagem em um microscópio. (c) O poder de resolução r define a menor distância entre fontes pontuais separáveis.
O valor de r resulta de (2) e do fato de que os raios de luz são refratados pela lente. NA é chamada de “abertura numérica” do sistema de lentes, pois depende da abertura angular θ do diafragma e do índice de refração n do meio entre o espécime e a lente. Ela refrata a onda de luz, mas do outro lado da lente L há ar, onde n = 1. A Figura 6 (c) mostra que a imagem borrada de dois pontos próximos a A só pode ser separada quando sua separação é maior que r. O poder de resolução dos microscópios é assim definido por (3). Abbe concluiu que a resolução dos microscópios ópticos pode ser melhorada preenchendo o espaço entre a amostra e a lente com um fluido transparente, onde n ≈ 1,5. A imersão reduz assim r de λ/2 para λ/3.
2.3- O Método de Rife e outros supermicroscópios
Foi afirmado que Rife não conseguiu superar a barreira de difração e que ele a suprimiu aplicando o princípio da reversibilidade. Desculpe, este princípio é válido apenas em óptica geométrica, uma vez que implica que a direção de propagação da luz é irrelevante para os raios de luz. A difração da luz que passa por um pequeno orifício circular ou uma fenda estreita resulta de interferência e não pode ser eliminada, mas a Figura 4 mostrou que a dificuldade pode ser contornada. Como Rife também poderia fazer isso sem lasers?
O contato de Rife com a Zeiss Company e suas próprias observações o tornaram ciente dos fenômenos de difração, mas ele encontrou uma maneira muito simples de reduzir seus efeitos. Ele combinou uma ampliação muito alta com um filtro de ponta fina, o que reduz o tamanho do disco de Airy em A’, como mostrado na Figura 3 (c). Provavelmente, Rife não mencionou esse filtro para proteger sua invenção. É até impossível verificar se ele usou um filtro pinhole, já que seus microscópios foram desmontados. Rife construiu em 1932 um supermicroscópio para um amigo, que era relojoeiro e pode ter dado conselhos sobre ferramentas de alta precisão. Este instrumento foi vendido em leilão em 2009, mas os sistemas de lentes objetivas e oculares estavam faltando, bem como o filtro de ponta fina.
É muito notável que Gaston Naessens (1924-2018) tenha desenvolvido em 1949 outro tipo de supermicroscópios ópticos com especialistas da Leitz Company em Wetzlar, Alemanha. Este instrumento atingiu uma ampliação de 30.000 e uma resolução suficientemente alta para ver entidades vivas muito pequenas. Naessens os chamou de “somatídeos” e seu microscópio de “somatoscópio”. Ele observou que esses somatídeos resultavam de mudanças de tamanho e forma de bactérias normais. Eles poderiam passar por um ciclo de vida simples ou complexo. Isso é demonstrado em um vídeo curto e muito interessante. Seu microscópio também era baseado em bioluminescência, mas a radiação excitante era luz UV e azul muito intensas de comprimentos de onda fixos, respectivamente de 185 nm e 330 nm. Como a excitação como a da Figura 3 (a) requer uma cor específica, isso foi alcançado por meio de campos magnéticos e elétricos, modificando os espectros moleculares de forma adaptável.
Como ignoramos se ele também usou um filtro pinhole para atingir uma resolução muito alta, nos perguntamos se outros métodos poderiam ter sido usados. Isso é concebível, uma vez que a Figura 7 (a) considera a excitação por meio de luz UV que permite transições (1) entre o estado fundamental So e um estado de saída superior S2. A energia é então reduzida, modificando o parâmetro de configuração s da molécula. No entanto, a curva S2 (s) corta a curva S1 (s). O elétron saído vai então para o estado de energia mais baixo, o que permite a emissão imediata de luz (2), chamada fluorescência. No entanto, o elétron excitado também pode passar de S1 para outro estado T. Trata-se de um estado tripleto, uma vez que o spin do elétron excitado foi invertido. Obtemos, portanto, um par de elétrons, onde o spin total é 1 em vez de 0 para estados únicos S e a transição T → S2 é proibida. O elétron fica, portanto, preso até ser termicamente excitado para atingir novamente o nível S1 . Isso permite a emissão de luz retardada, conhecida como fosforescência. Como não há mais uma relação de fase fixa com a luz excitada, as ondas de luz emitidas são incoerentes e não podem interferir.
Outro método consiste em posicionar um filtro de precisão precisamente no ponto A’, conforme mostrado na Figura 7 (b). Isso tem como principal vantagem melhorar a nitidez da profundidade, uma vez que a luz que emerge de outros planos que não A não será focalizada no plano da imagem A’. Esse tipo de microscopia confocal foi inventado e patenteado na década de 1950. Ele permitiu a varredura a laser. A microscopia óptica fez, portanto, um progresso notável, mas os pioneiros, Rife e Naessens, foram injustamente descartados da lista de cientistas honrados.
Eles usaram seus microscópios para observar que bactérias podem reduzir seu tamanho e desenvolveram métodos para combater doenças. Rife fez isso por ressonância, e Naessens, pela descoberta de medicamentos que ele observou serem eficazes, mas foi processado por exercício ilegal da medicina. Rife e Naessens não pertenciam à corporação ou casta exigida. Essa mentalidade é semelhante ao racismo, já que nem sequer foi considerado necessário verificar se suas observações estavam corretas e se seus tratamentos eram úteis ou não.
Figura 7. (a) Excitação de fluorescência e fosforescência. (b) Microscopia confocal.
3. Descobertas Biológicas e Aplicações Médicas
3.1- O Pleomorfismo Revisitado
Antoine Béchamp, compatriota de Pasteur, já provou por meio de extensa experimentação que o tamanho e a forma das bactérias podem ser modificados. Ele introduziu o termo pleomorfismo, significando mais formas possíveis. Ele descobriu que as entidades menores sobrevivem no giz, mas podem readquirir seu tamanho usual e até se tornar fungos. Em 1886, Béchamp descreveu “microzimas” (pequenos fermentos) que subsistem como entidades vivas após a morte dos órgãos, embora se acreditasse que nada pode sobreviver. Esses microzimas também podem estar presentes em seres vivos, onde causam doenças, mas Pasteur defendeu ferozmente sua convicção de que todas as doenças infecciosas são devidas apenas a micróbios de origem externa. Béchamp era doutor em farmácia e professor de química. Ele se tornou médico e depois professor de medicina. Ele era membro da Academia Francesa, como Louis Pasteur, que era químico. Pasteur fez descobertas muito importantes, mas era bastante intolerante. Ele até teve uma rixa com Robert Koch e reagiu tão agressivamente contra Béchamp que o monomorfismo prevaleceu pelo consentimento dócil dos colegas.
No entanto, a Sra. Henri do Instituto Pasteur em Paris observou em 1914 que os bacilos do antraz mudam de forma quando são submetidos à luz ultravioleta. O monomorfismo também foi contestado pelo biólogo sueco Ernest Almquist. Ele escreveu em 1922: “Ninguém pode fingir conhecer o ciclo de vida completo e todas as variedades de uma única espécie bacteriana. Seria uma suposição pensar assim.”
Rife não tinha conhecimento dessas controvérsias ou não se interessava. Seu objetivo era observar os minúsculos micróbios que ele esperava que existissem. Ele obteve sucesso e descobriu até mesmo que “qualquer alteração em meios artificiais (para cultivo de bactérias) ou ligeira variação metabólica em tecidos induzirá um organismo de um grupo a se transformar em qualquer outro organismo incluído nesse mesmo grupo”. Essas transformações são reversíveis, mas o Bacillus typhosus produz sempre entidades luminescentes azul-turquesa. Para o Bacillus coli , a cor é mogno, para o Bacillus tuberculosis, verde-esmeralda, e para o BX, vermelho-púrpura.
Rife descobriu que bactérias inofensivas se tornam virulentas quando seu tamanho é reduzido. Ele pensou, portanto, que as bactérias não produzem doenças, mas os microrganismos que resultam de sua transformação. “Se o metabolismo do corpo humano estiver perfeitamente equilibrado, ele não é suscetível a nenhuma doença”. Rife acrescentou nove anos depois: “com uma cultura pura de bacillus coli, alterando o meio em apenas duas partes por milhão em volume, podemos mudar esse organismo em 36 horas”. No meio inicial, o microrganismo se torna novamente um bacillus coli. O estudo microscópico contínuo e a fotografia em stop motion confirmaram a reversibilidade e revelaram que o BX permite “muitas mudanças e ciclos”.
Em animais experimentais, o BX produz “um tumor típico com toda a patologia do verdadeiro tecido neoplásico, do qual podemos recuperar novamente o microrganismo BX”. Eles estão até abundantemente presentes. Para ter absoluta certeza desse resultado surpreendente, Rife repetiu essas observações centenas de vezes. Deve-se notar que ele tendia a usar o termo “vírus” para qualquer tipo de micróbio filtrável, uma vez que o modo específico de reprodução do vírus ainda não era conhecido. O biólogo Gaston Naessens observou o pleomorfismo com mais detalhes. Ele apresentou evidências claras em um vídeo de que a somatide encontrada no sangue pode ter um ciclo de vida simples ou um com 16 estágios diferentes. Esses fatos podem ser simplesmente negados, uma vez que não são observáveis com microscópios ópticos padrão? Os livros de Lynes e Bird denunciam a enorme falta de honestidade científica em relação às descobertas de Rife e Naessens.
Felizmente, é possível redescobrir o que está acontecendo na Natureza. Emmy Klieneberger-Nobel publicou em 1951 um estudo completo sobre formas filtráveis de bactérias. Ela usou um microscópio de contraste de fase, desenvolvido em 1942. Ele converte mudanças sutis de fase de ondas de luz que passam pelo espécime em modificações de amplitude. Elas se tornam perceptíveis pela redução da amplitude das ondas de fundo. Este método tornou possível descobrir mudanças reversíveis de vários tipos de bactérias, resultantes de modificações de seu ambiente. De acordo com sua longa lista de referências, ela não estava ciente das descobertas de Rife e Naessens, mas a realidade do pleomorfismo foi confirmada.
Kurath e Morita demonstraram em 1983 que bactérias marinhas são capazes de se adaptar para sobreviver em condições de escassez de nutrientes. O geólogo Robert Folk descobriu no início dos anos 90 que a precipitação de carbonatos em fontes termais da Itália central é devido a bactérias modificadas. Ele as estudou por microscopia eletrônica de varredura (MEV), provando que seu tamanho médio era de 200 nm. Em 1994, Folk atribuiu a precipitação de carbonato observada a paredes celulares carregadas negativamente. Elas atraem íons Ca++, neutralizados por íons CO3, que produzem giz (CaCO3).
Kajander e Ciftcioglu provaram em 1998 que o sangue pode conter nanobactérias, associadas a Ca++, CO3 e PO4. As nanobactérias atuam então como centros de cristalização que levam à formação de cálculos renais. O envelope calcificado parece fornecer um abrigo para a sobrevivência, uma vez que as micrografias SEM revelaram que elas ainda são capazes de se dividir. Pareceu também que essas nanobactérias são cobertas por uma “camada pilosa”. A microscopia eletrônica de transmissão (MET) confirmou a existência dessa camada de fibras mineralizadas.
No entanto, a existência de nanobactérias levantou controvérsias, uma vez que se acreditava geralmente que as bactérias tinham que ser grandes o suficiente para acomodar DNA ou RNA, bem como as enzimas necessárias para replicação autônoma. A oposição ao conceito de pleomorfismo ressurgiu, mas agora por causa da genética molecular. Ciftcioglu, Kajander et al. responderam em 2006 com mais fatos: a calcificação patológica causada por nanobactérias também é responsável por cálculos biliares, doença arterial cardíaca, prostatite, câncer e doença de Alzheimer. Eles declararam que a pesquisa nesta área foi “paralisada por décadas pela atribuição das calcificações a processos insignificantes, passivos e degenerativos do envelhecimento”.
O dermatologista Milton Wainwright publicou já em 1990 um livro, onde apresentou resultados importantes sobre as causas microbiológicas do câncer. Ele descobriu que a esclerodermia, uma forma rara de câncer que leva ao endurecimento da pele e inevitavelmente à morte, é causada por micróbios. Outros médicos e cientistas de pesquisa médica de destaque também demonstraram, entretanto, que várias formas de câncer resultam de nanobactérias, mas o establishment médico rejeitou imprudentemente todas as provas que contradiziam o dogma padrão. O livro de Wainwright de 2005 fornece ampla prova desse tipo de “política médica”.
Milton Wainwright lembrou a batalha entre pleomorfismo e monomorfismo, uma vez que ainda está em curso. Ao descartar esta possibilidade, “podemos estar perdendo algo de fundamental importância”. Uma revisão concluiu em 2011 que “as evidências de que as nanobactérias existem no corpo humano e estão intimamente associadas a muitos tipos de doenças são agora esmagadoras”. No entanto, chegou ainda em 2011 a uma negação categórica. Referiu-se injustamente a um estudo de Ciftcioglu e McKay. Foi muito mais cuidadoso e mencionou que as nanopartículas calcificantes “não se enquadram na definição típica de vida”, mas poderia ser demasiado restritivo. As formas mais pequenas têm efeitos prejudiciais na saúde humana e devem ser o “foco dos esforços futuros”.
Cantwell insistiu novamente em 2014 nas evidências existentes de que o câncer é causado por bactérias pleomórficas. Mais e mais justificativas da relevância de formas modificadas de bactérias em patologias humanas foram publicadas. Cientistas russos apresentaram em 2012 uma revisão onde nanobactérias cocóides foram relatadas aparecendo na água do mar, solo, rochas sedimentares e graníticas, na camada de gelo da Groenlândia, geleiras e solos de permafrost, bem como em humanos e insetos, por exemplo. Seu tamanho pode ser reduzido para cerca de 150 nm. Este artigo contém várias micrografias mostrando que as ultramicrobactérias podem fazer contato umas com as outras por meio de apêndices semelhantes a cabelos. A equipe de Banfield na Universidade da Califórnia, Berkeley, coletou nanobactérias filtrando água subterrânea enriquecida com acetato. Essas células foram imediatamente congeladas para evitar deterioração e levadas ao laboratório, onde foram analisadas por CryoTEM. Pareceu que essas nanobactérias são até bastante comuns e bem adaptadas para sobrevivência em condições adversas. Uma micrografia amplamente publicada mostra uma partícula esférica revestida. Seu diâmetro é próximo a 300 nm e sua superfície é coberta por numerosos pili, irradiando para fora. Seu comprimento é de cerca de 50 nm. Sua presença atraiu nossa atenção e se revelará muito importante.
Lida Mattman foi uma microbiologista excepcional. Ela confirmou o pleomorfismo e descreveu o ciclo de vida de várias bactérias. Seu livro didático concentrou-se em “formas deficientes na parede celular”. Elas poderiam resultar de uma adaptação para aumentar a proteção contra antibióticos naturais, mas permaneceram ocultas no sangue, embora sejam prejudiciais. “A bacteriologia atual acredita que cada espécie de célula possui apenas uma forma simples e a retém por reprodução”. No entanto, elas são capazes de “passar por estágios com morfologias marcadamente diferentes”.
Dennis Claessen e seu grupo no Instituto de Biologia em Leiden descobriram bactérias filamentosas que estão presentes nos solos. Ele as chamou de “actinomicetos”. Em resposta ao estresse, elas podem se tornar deficientes na parede celular. Este pode ser um estado transitório, mas também duradouro. Pr. Claessen comentou em uma entrevista: “Isso dá uma compreensão totalmente nova da flexibilidade dos microrganismos sob estresse e sua capacidade de se adaptar ao seu ambiente.” Ele publicou um artigo em 2019, onde revisou o progresso recente sobre deficiência de parede induzida por estresse e pleomorfismo. Ele concluiu que, durante a última década, tornou-se cada vez mais claro que “as células têm uma ampla gama de mecanismos de defesa para lidar com vários estresses.” Isso também é clinicamente relevante, uma vez que a plasticidade morfológica pode causar reinfecções.
É particularmente notável que Rife tenha descoberto que nanobactérias mortais prosperaram em tecidos que foram tratados por radiação α, β e γ ou raios gama de cobalto 60. A ideia de que o câncer resulta apenas de mutações, devido a danos causados pela radiação e algumas substâncias químicas, precisa ser revisada, uma vez que não tínhamos conhecimento do pleomorfismo, causado pelo estresse.
3.2 – Método da Rife para produzir ondas EM
Seu objetivo não era apenas ver pequenos micróbios, causando doenças e morte, mas também destruí-los. Ele suspeitava já em 1915 que isso poderia ser possível submetendo-os a campos elétricos oscilantes. Ele declarou que a experimentação sistemática começou em 1920. Naquela época, os radioamadores eram muito ativos. A onda portadora para radiofrequências havia sido inicialmente produzida por meio de uma sequência de faíscas (em alemão: Funken, que significa também emissão de rádio). As faíscas resultam de alta tensão, obtida por meio de uma bobina de indução Ruhmkorf e um interruptor. O campo elétrico acelera alguns elétrons dispersos que se tornam então capazes de ionizar moléculas de ar. Isso produz mais elétrons livres no estilo avalanche, mas os processos de recombinação levam a uma faísca e descarga rápida. Isso também é relevante para raios.
Quando se percebeu que elétrons podiam ser emitidos por um filamento quente, tornou-se possível fabricar diodos luminosos. No entanto, Lee De Forest utilizou um tubo de vácuo e inventou o triodo, onde o fluxo de elétrons amplificado pode ser controlado. Este “audion” podia, portanto, modular uma onda portadora de alta frequência em frequências de áudio e foi patenteado em 1908. A radiodifusão pública começou em 1922 na Torre Eiffel em Paris e, em 1926, a NBC iniciou as emissões de rádio nos EUA, mas o Dr. Rife queria apenas produzir ondas de rádio de alcance limitado. Sua frequência deveria ser adaptável e estável para permitir ação seletiva em micróbios específicos. Sendo tecnicamente talentoso e muito criativo, ele fez isso combinando duas invenções existentes.
Por um lado, o físico e soprador de vidro alemão Geissler criou em 1857 um tubo de descarga de gás, ainda hoje utilizado como fonte de luz colorida. Consiste em um recipiente de vidro selado que contém um gás nobre a baixa pressão e dois eletrodos. Não há filamento quente, mas uma alta diferença de potencial constante é aplicada a esses eletrodos. O campo resultante acelera elétrons livres que então ionizam átomos. Em baixa pressão, eles são difundidos por colisões antes de emitir luz. Todo o tubo torna-se luminoso e a cor depende do gás escolhido.
Por outro lado, Coolidge inventou em 1913 um tubo de raios X que era uma esfera de vidro. Um filamento quente emitia elétrons, agrupados e acelerados em alto vácuo por um forte campo elétrico para impactar o outro eletrodo em alta velocidade. Eles foram repentinamente desacelerados, mas as leis básicas do eletromagnetismo preveem que, quando a velocidade de partículas eletricamente carregadas é reduzida, elas emitem radiação de frenagem (Bremsstrahlung). A desaceleração de elétrons de alta velocidade produz raios X. Seu espectro de frequência é contínuo, mas também há picos estreitos sobrepostos, resultantes da excitação de elétrons fortemente ligados dentro dos átomos do ânodo. Eles retornam ao seu estado normal emitindo fótons de energia particular. Esses processos produzem um feixe de raios X que é emitido a 90˚ quando o ânodo plano é inclinado a 45˚ em relação ao feixe de elétrons. Rife criou um novo sistema, representado na Figura 8 (a).
Na verdade, ele substituiu o tubo de Geissler por uma esfera de vidro do tamanho de uma mão e o filamento quente da esfera de Coolidge por uma placa de metal fria. Quando a diferença de potencial aplicada entre os dois eletrodos excede um valor específico, surge uma descarga luminescente. Ela resulta do fato de que uma carga espacial local é criada perto do eletrodo negativo e empurra alguns íons em direção ao cátodo. Ela emite então elétrons que são acelerados e ionizam átomos do gás nobre. Sua pressão é tal que a difusão de átomos excitados é limitada, mas os elétrons acelerados são constantemente desacelerados e atingem o ânodo com energia moderada. Sendo subitamente parados, eles produzem radiação de frenagem, mas a energia dos fótons emitidos é menor do que a dos tubos de raios X de Coolidge. O feixe de ondas de rádio resultante também é perpendicular ao feixe de elétrons e representado por pontos na Figura 8 (a). A divergência lateral desse feixe é maior do que a dos raios X, devido ao maior comprimento de onda.
O gás que envolve o feixe torna-se luminoso e tal diodo é chamado de “fanótron”. Rife experimentou diferentes gases nobres. Ele descobriu que o hélio é preferível, pois o impacto dos íons He+ mais leves no cátodo aumenta sua vida útil. A Figura 8 (b) indica de forma esquemática que a tensão elétrica pode ser aplicada modulando um sinal de alta frequência F com pulsos retangulares de menor
Figura 8. (a) O fanotron de Rife é um diodo de descarga de gás, onde um feixe de elétrons produz a 90˚ um feixe de ondas EM. (b) Um sinal elétrico de alta frequência fixa F é combinado com pulsos em uma frequência de áudio particular f para produzir oscilações senoidais de frequências desejadas f’.
frequência f. Como os fenômenos de avalanche distorcem esses sinais, a onda EM resultante é equivalente a uma superposição de ondas senoidais de várias frequências f’ pela transformação de Fourier.
3.3- As Frequências Rife e a Evidência de Micróbios Explosivos
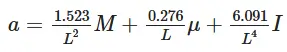
A história do desenvolvimento da máquina de Rife foi reconstruída em detalhes. O relatório contém muitas fotografias e inclui novas medições. Elas foram realizadas em instrumentos redescobertos ou reconstruídos, de acordo com os esquemas originais. Este estudo estava essencialmente preocupado com problemas de engenharia, mas para nós é importante que este sistema pudesse produzir campos elétricos que oscilam em qualquer frequência desejada f’. Rife forneceu uma lista de frequências de ressonância para diferentes tipos de micróbios observando sua reação com seu microscópio. Como eles foram definitivamente inativados, ele os chamou de “taxas oscilatórias mortais”.
Ele comunicou sua lista inicial em 1935 ao engenheiro eletrônico Philip Hoyland. Ele havia sido contratado pelo Dr. Milbank Johnson, que operava uma “clínica de câncer” que utilizava o método de Rife. A missão de Hoyland era construir uma versão mais compacta da máquina de Rife. A eletrônica estava em constante progresso, de fato. Ele também determinou as frequências de ressonância com o microscópio de Rife, e Rife controlou suas medições. Ele concordou com os valores ajustados de 1936. A Tabela 1 fornece a lista cuidadosamente elaborada. Ela aparece no relatório (p. 103), mas é reorganizada aqui para frequências crescentes, em vez dos nomes das patologias em ordem alfabética.
Para produzir essas frequências, Rife adquiriu equipamentos comerciais de alta qualidade. Ele precisava de uma onda portadora senoidal de frequência autorizada e foi autorizado a emitir em F = 3.300.000 Hz. Esse sinal, modulado por pulsos retangulares, foi alimentado ao fanotron. Os pulsos foram distorcidos por efeitos de avalanche e as possíveis frequências foram então determinadas por
Os números n e n’ podem ser de 1, ±2, ±3, … As bandas laterais têm intensidades decrescentes para maiores valores desses números. A Tabela 1 nos diz que a ressonância
| Frequência de | Contra | 549.07 kHz (mHz) | Staphylococcus Albus |
| 139.20 kHz (m) | Anthrax | 759.45 kHz (mHz) | Febre de Tifóide (vara) |
| 191.80 kHz (mHz) | Estreptotrix | 719.15 kHz (s) | Streptococcus Pirogênico |
| 233.00 kHz (m) | Gonorreia | 769.000 kHz | Tuberculose (filtrável) |
| 234.00 kHz | Tétano | 769.035 kHz (m) | Coli (filtrável) |
| 369.43 kHz (m) | Tuberculose (bacilo) | 788.70 kHz (m) | Sífilis |
| 416.51 kHz (mHz) | Coli (vara) | 1.4452 MHz | Febre de Tifóide (filtrável) |
| 426 anos. 86 kHz (68 km) | Meningite da coluna vertebral | 1.52952 MHz | Sarcoma do câncer (BY) |
| 477.66 kHz (m) | Staphylococcus Aureus | 1.60745 MHz | Sarcoma do câncer (BX) |
Tabela 1. A Lista Rife-Hoyland de frequências de ressonância para diferentes patologias.
da frequência para BX é 1607,45 kHz. Assim, foi obtida escolhendo f = 21,275 kHz, enquanto n = -4 e n’ = 2. Este procedimento é bastante complicado, mas semelhante à prática normal para radiodifusão. Também protegeu a invenção de Rife, sem exigir patente, visto que não foi fácil encontrar o valor adequado de f.
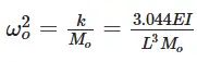
Quando Hoyland faleceu, Verne Thomson tornou-se o novo engenheiro de Rife. Ele construiu várias máquinas de raios e verificou que as frequências de ressonância finamente ajustadas da Tabela 1 estavam corretas. Vemos aí que as frequências de ressonância são diferentes, mas únicas para cada tipo específico de micróbio. Rife atribuiu esse fato à sua “constituição química” (p. 20 do relatório). Ainda não era possível ser mais explícito, mas o resultado empírico já era muito importante.
Hoje, é possível usar geradores de frequência e eletrodos portáteis. Ficamos surpresos quando examinamos um sistema, promovido em um livro (Frequenz Therapie, edição alemã, 2014). Ele contém uma enorme lista de frequências de ressonância, sem explicar como elas foram determinadas. Ele afirma, por exemplo, que elas são 21.275 Hz para o carcinoma BX e 20.080 Hz para o sarcoma BY. Esses valores diferem daqueles da Tabela 1. Além disso, o livro preconiza, por exemplo, 11 frequências contra “falta de apetite”. Elas são muito baixas, já que até 10 delas estão situadas entre 20 e 1865 Hz, enquanto 63 frequências foram listadas para tratar a hepatite C. Isso contradiz o resultado de Rife: há apenas uma frequência de ressonância para cada tipo de micróbio. Outra lista de frequências, reivindicada como frequências de Rife, fornece também muitas frequências relativamente baixas, sem nenhuma justificativa detalhada. Apenas 4 das 11 frequências da lista anterior são fornecidas aqui para a falta de apetite, mas 52 frequências são fornecidas para o câncer. Elas variam entre 120 Hz e 795,6 kHz. É prudentemente declarado que essas frequências são “apenas para experimentos”, mas “você pode ver se funcionam para você”. De qualquer forma, o aparelho é vendido com muita publicidade.
Tememos, é claro, que esse tipo de negócio possa constituir um sério obstáculo ao reconhecimento científico do método de Rife e temos que concluir que controle e autorizações objetivos são necessários, como para a maioria das profissões e equipamentos técnicos. O engenheiro biomédico Marcello Allegretti revisou as aplicações médicas das ondas EM em vários livros, para torná-las compreensíveis em termos gerais. No entanto, nunca encontramos uma explicação para a destruição direcionada de micróbios por ressonância. Isso deve ser possível para qualquer fenômeno real.
Nossa primeira tarefa foi, portanto, verificar se há provas visuais da eficiência do método de Rife. Além do teste confiável para curar pacientes com câncer, Rife fez inúmeras microfotografias e filmes para documentar suas observações, mas quase todas foram roubadas ou destruídas. No entanto, algumas provas foram salvas. Recomendamos dois vídeos facilmente disponíveis para ver com nossos próprios olhos o que acontece. O vídeo “Royal Rife – em suas próprias palavras” mostra instrumentos, procedimentos e (no minuto 6:58) a nanobactéria azul-turquesa que ele descobriu. “A história de Royal Rife” mostra várias vezes bactérias explodindo (6:45, 6:59, 7:12, 8:37 e 9:07). Outros vídeos fornecem mais informações básicas.
John Crane apresenta no “filme de laboratório do Dr. Royal Rife de 1939”o local de trabalho e o equipamento, usados por Rife. As primeiras fotos do BX (14:33) foram tiradas com o microscópio de Rife de 1922. As bactérias são muito maiores e já podiam ser observadas com microscópios ópticos padrão, mesmo quando explodiam (34:25, 34:45 e 35:15). A versão mais longa de “Rife em suas próprias palavras” exibe nanobactérias azul-turquesa (7:39) e verdes (8:53). Desenhos do BX e das entidades BY (15:23, 16:23) indicam a presença de pili em sua superfície. As nanobactérias podem até ser vistas junto com as bactérias correspondentes (41:12). “A história de Rife” inclui mais imagens de bactérias explodindo (15:48, 16:02, 16:15, 1.56:03 e 1.56:14).
4. Explicação da destruição do micróbio por ressonância
4.1- Formulação do Problema Básico
O primeiro método que é habitualmente usado quando nos deparamos com fenômenos inexplicáveis é torná-los plausíveis referindo-se a analogias . Em um vídeo de excelente qualidade pedagógica, o professor de música Anthony Holland usou esse método, uma vez que é possível quebrar uma taça de vinho por ondas sonoras de frequência adequada. A frequência de ressonância pode ser determinada batendo na taça de vinho ou esfregando sua borda com um dedo úmido. O atrito resultante de deslizamento produz um som contínuo como o do arco e uma corda vibrante de violinos. Embora existam vários modos de vibração para taças de vinho e sinos, o dominante corresponde a deformações da borda ao longo de dois eixos ortogonais, conforme indicado na Figura 9 (a). Quando a intensidade da onda sonora excitante é forte o suficiente, o vidro é quebrado, pois é bastante quebradiço.
O conceito relevante pode ser visualizado de forma mais transparente por meio de um laço de fio de aço, preso a um vibrador vertical que é ativado por um gerador de frequência. Aparecem então “ondas estacionárias” com 4 nós para a frequência de ressonância mais baixa. Mais nós do que na Figura 9 (a) também são possíveis em frequências mais altas. A Figura 9 (b) representa uma “tigela canora”. Este é um instrumento musical muito antigo, ainda usado na China, Tibete e outros países asiáticos. Era feito de bronze e vibra como uma taça de vinho, mas não quebra. Quando está parcialmente cheio de água, gotas saltitantes aparecem para excitação forte o suficiente. No entanto, esses sistemas fornecem apenas exemplos de fenômenos de ressonância normais. Ondas superficiais de água em pequena escala resultam da tensão superficial e é bem conhecido que a coesão pode então levar à formação de gotas.
Figura 9. (a) Deformações de uma taça de vinho vibrando. (b) Uma tigela cantante ou sino de pé.
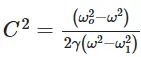
O colapso espetacular da Ponte de Tacoma é frequentemente citado como exemplo de fenômeno de ressonância, mas essa ressonância envolveu uma vibração de torção da ponte que causou vento turbulento. Essa turbulência amplificou a vibração e vice-versa, conforme explicado visualmente em um vídeo. O feedback positivo pode, portanto, levar à autoamplificação e a ressonâncias mais fortes do que as normais. Mostraremos que a destruição direcionada de vírus e outros micróbios resulta desse mecanismo e também termina em interrupção fatal.
Anthony Holland realizou experimentos sobre os efeitos das ondas EM. Ele mostrou os resultados para um organismo unicelular inofensivo, chamado “blefarisma”. Seu tamanho usual é de 75 a 300 μm e pode, portanto, ser facilmente observado com um microscópio óptico padrão. Essas entidades são alongadas e sua superfície é uniformemente coberta por organelas curtas semelhantes a pelos (ver Wikipédia). O vídeo de Holland mostra (no minuto 10:43) que a membrana exibe uma bolha antes de se romper (11:13). É interessante que outra bolha estivesse se formando do outro lado (11:03) e que uma pequena entidade aparentemente exploradora não foi afetada na frequência imposta. Holland então mostrou também células de leucemia explodindo (13:00-13:24), usando o fanotron de um “dispositivo Bare/Rife”.
James Bare é um médico que deseja ajudar pacientes. É respeitável que ele tenha tentado entender o que acontece, mas é instrutivo examinar suas tentativas de explicação para se conscientizar de possíveis armadilhas. O termo “tecnologia de luz ressonante” não é adequado, uma vez que a ressonância é devida a uma onda EM e não ao feixe de elétrons luminosos. O Dr. Bare sabia disso, mas ele pensou que isso constitui uma “pequena antena”. Ele menciona até mesmo “solitons”, mas uma antena é apenas um fio condutor, onde os elétrons são colocados em oscilação longitudinal para produzir uma onda estacionária com amplitude máxima em ambas as extremidades. Esta é a maneira usual de criar ondas EM, mas já explicamos que Rife produziu ondas EM pela desaceleração de elétrons no ânodo.
Como o microscópio revelou que a membrana de células quase esféricas estava localmente rompida, o Dr. Bare e colaboradores pensaram que a ressonância se devia ao buraco. Um vaso esférico com gargalo curto constitui um “ressonador de Helmholtz”, visto que o ar em qualquer vaso fechado atua como uma mola sobre o ar oscilante no gargalo. A ressonância surge espontaneamente quando uma corrente de ar sopra rápido o suficiente sobre a abertura, uma vez que ondas estacionárias são então excitadas pela turbulência, como no interior de algumas flautas. No entanto, existe apenas uma frequência de ressonância para um dado tamanho do vaso e seu gargalo, visto que existe um único oscilador. Para flautas, existem várias ondas estacionárias possíveis de diferentes frequências. Na verdade, o buraco na membrana de uma célula em explosão é uma consequência das ressonâncias de Rife e não sua causa.
Para explicar a destruição de vírus e micróbios por ressonância, é necessário começar adotando um modelo adequado. A analogia de Holland com a quebra de uma taça de vinho poderia sugerir que Rife excitou deformações do corpo celular. Isso produziria um conjunto de frequências de ressonância, enquanto a Tabela 1 atribui apenas uma frequência de ressonância a qualquer tipo específico de micróbio. Outra hipótese possível seria uma polarização elétrica do corpo celular. Esse mecanismo leva a uma ressonância para partículas que são muito pequenas em comparação com o comprimento de onda λ das ondas EM. Elas estão banhadas em um campo elétrico homogêneo que induz cargas superficiais, criando um campo elétrico secundário dentro da partícula. Isso leva a uma ressonância para oscilações dipolo. Isso explica o céu azul, uma vez que o campo elétrico da luz solar polariza partículas muito pequenas no ar atmosférico. Essa frequência de ressonância está situada no domínio da luz UV e a energia é absorvida apenas nessa frequência de ressonância, mas espalhada em frequências vizinhas. Esse chamado “espalhamento de Rayleigh” da luz solar resulta da polarização induzida. É mais intenso para a luz azul do que para a vermelha. Esta teoria aplica-se também às oscilações coletivas de elétrons em partículas metálicas muito pequenas e permitiu-nos explicar a “absorção óptica anômala” de finas películas metálicas granulares. A mesma teoria explica a ressonância que as ondas de rádio produzem nos glóbulos vermelhos. No entanto, o mecanismo do fenômeno de ressonância de Rife é diferente e ainda não foi explicado.
4.2- Estrutura e Função de Picos de Vírus
A pandemia de Covid-19 e as imagens dos vírus relevantes sugeriram ao autor que seus picos poderiam estar em oscilação e talvez levar a uma ressonância devastadora. Testaremos essa hipótese estabelecendo a equação relevante e resolvendo-a, mas, antes de tudo, precisávamos entender melhor a estrutura e a função dos picos virais. Eles não são meras decorações em forma de flores, mas armas muito eficientes para atacar células, a fim de usar sua maquinaria para se reproduzir em grande escala.
A chamada “gripe espanhola” de 1918 foi causada por um vírus. Infectou cerca de 500 milhões de pessoas e matou pelo menos 20 milhões de pessoas. Este vírus tornou-se mais letal durante a pandemia, uma vez que a sua mutação levou a uma segunda onda, onde os pulmões ficaram cheios de sangue. O vírus Corina-19 apareceu na China e foi parcialmente controlado pela contenção, mas não foi interrompido. A proximidade social, o aumento da densidade populacional, a mobilidade mundial e as economias interligadas são os principais fatores da sua propagação. Vemos também que a procura e o teste de vacinas levam tempo. Mesmo uma vacina não pode nos proteger contra novas mutações imprevisíveis e o possível aparecimento de formas mais virulentas. Seria, portanto, irresponsável negligenciar as evidências já existentes de que é possível um método biofísico eficiente, seguro e rapidamente adaptável.
O método de Rife poderia ter sido testado pelo menos por meio de procedimentos experimentais, mas foi rejeitado por parecer inacreditável. No entanto, também é necessário explicar por que os fatos relatados são verdadeiros. Estamos, portanto, confrontados com um problema científico fundamental. Existem inúmeros exemplos, de fato, em que algo inesperado foi descoberto. Tratava-se de realidades ainda ocultas. Como podemos ter acesso a algo que não seja diretamente observável? Temos que imaginar o que poderia acontecer, extrair consequências lógicas dessa hipótese e verificar se elas são verdadeiras ou não. O primeiro problema é, portanto, selecionar uma hipótese plausível, merecedora de análise rigorosa…
Tornou-se possível por volta de 1980 combinar microscopia eletrônica criogênica com sequenciamento genético para entender o papel dos picos. O conhecimento resultante está resumido na Figura 10, mas para maior clareza, representamos apenas um par de macromoléculas, enquanto os picos de hemaglutinina (HA) em forma de flor contêm 3 pares idênticos. Agora estamos acostumados a representações artísticas, mas elas não revelam o que é essencial. A Figura 10 (a) representa o estado normal das proteínas HA1 e AH2 associadas. A molécula HA1 contém cargas negativas (COO–) que pertencem a pequenas moléculas de ácido siálico que podem se mover dentro da molécula. Devido à sua repulsão mútua, elas criam cargas de superfície. A eletrostática nos diz que sua densidade depende da configuração da superfície e tem que ser maior perto da ponta pontiaguda da molécula HA1.
Essas cargas polarizam a molécula HA2 eletricamente neutra, que é uma molécula delgada e helicoidalmente enrolada. Ela tende a ser reta, mas é curvada e mantida nesse estado devido ao aumento das cargas superficiais na extremidade inferior da molécula HA1. A parte central da mola helicoidal é mais irregular do que o indicado aqui, mas é importante apenas que obtenhamos uma armadilha de mola carregada. Ela está ancorada na membrana do vírus. Sua extremidade, representada em verde na Figura 10 (a), está situada no outro lado da membrana do vírus. Ela é eletricamente carregada e, portanto, hidrofílica. Isso geralmente é suficiente para garantir a implantação, mas não para uma tração muito forte.
A Figura 10 (b) mostra o que acontece nas proximidades de uma célula. Seus poros permitem o transporte de íons, o que mantém uma diferença de potencial entre as superfícies interna e externa de sua membrana. Isso leva a um aumento na densidade de íons H+ próximos à superfície externa. Quando um vírus se aproxima da membrana, esses prótons reduzem a densidade de carga superficial da molécula HA1, uma vez que COO– + H+ → COOH. A carga superficial restante é então muito pequena para manter a mola HA2 em seu estado curvado. Ela é liberada repentinamente e sua ponta carrega uma proteína de fusão, indicada em vermelho. Ela penetra na membrana e isso ocorre simultaneamente para os três HA.
Figura 10. Representação esquemática de um par de moléculas HA1 e AH2, constituindo os picos dos vírus. (a) No estado normal, a molécula enrolada helicoidalmente HA2 é dobrada e mantida no lugar como uma mola carregada. (b) Ela é liberada pela neutralização da molécula HA1.
A redundância fortalece a captura, bem como o enraizamento. Além disso, a estrutura da parte HA1 é modificável por mutações para impedir que o sistema imunológico reconheça o invasor em potencial. Os vírus são terroristas, carregando canivetes sob o casaco. Eles estão prontos para esfaquear células que estão ao alcance e sua camuflagem pode ser modificada para escapar da detecção. A parte HA2, ao contrário, é estritamente conservada. Este engenhoso sistema foi elaborado pela seleção natural, governado pela sobrevivência do mais apto.
A existência desta máquina de guerra foi reconhecida em 1993. Para destacar a rápida expansão da pesquisa sobre este assunto, mencionamos a revisão do virologista Suzuki e de um bioquímico molecular. O professor Stephen Harrison, da escola médica de Harvard, apresentou esta teoria em um excelente vídeo e explicou como os picos ajudam os vírus a penetrar na célula. Insistimos mais em explicar o mecanismo de disparo automático. Sabe-se que os picos do vírus SARS-2 têm uma forma cônica. Difere das representações usuais, embora também esteja preso à membrana por uma haste fina.
4.3- Outros Picos de Vírus e Os Pili das Bactérias
Até agora, descrevemos apenas picos de vírus que são feitos de hemaglutinina (HA), mas os vírus também têm outro tipo de picos. Eles são constituídos de 4 proteínas neuraminidase (NA), que também são eletricamente carregadas. 18 variantes de HA e 11 subtipos de NA são conhecidos. A árvore filogenética do vírus Corona indica, portanto, uma variabilidade bastante grande. Os vírus foram modificados para se tornarem mais eficientes. O vírion da gripe carrega de 300 a 400 picos de HA e 40 a 50 picos de NA. Seus números relativos devem ser equilibrados, uma vez que cooperam para ajudar o vírus a entrar na célula pirateada. O diâmetro do núcleo esférico dos vírus usuais é de cerca de 120 nm. O comprimento dos picos de HA pode ser de cerca de 12,5 nm, enquanto o comprimento dos picos de NA é ligeiramente menor ou maior.
Os rotavírus são diferentes. Eles contêm RNA de fita dupla, em vez de fita simples, e são considerados não envelopados. Na verdade, a bicamada lipídica é substituída por uma capa proteica bem ajustada, mas sempre há picos que sofrem mudanças conformacionais e perfuram a bicamada lipídica da célula-alvo. As bactérias são dotadas de longos flagelos em forma de saca-rolhas. Eles permitem uma propulsão eficiente, uma vez que são ativados por pequenos motores individuais, embutidos na membrana celular, mas toda a superfície das bactérias é coberta por pili. O crescimento e a constituição molecular dessas estruturas semelhantes a pelos são agora bem conhecidos. A parte principal é uma fibra helicoidal com uma ponta pegajosa. Isso permite a adesão e algum alongamento que causa forças de retração. A haste é oca e pode até permitir a transferência de DNA, mas também é um condutor de elétrons. A principal função dos pili ou cílios das bactérias é sentir seu ambiente e facilitar a reprodução sexual por fusão com o mesmo tipo de bactéria. Moléculas antibacterianas interferem nesse processo, mas não impedem que os sobreviventes produzam mutações protetoras. Para nós, é essencial que os pili também carreguem partes positivas e negativas, pois isso oferece a possibilidade de atuar sobre eles por meio de um campo elétrico oscilante.
4.4- A Ressonância Normal e Os Amplificadores Paramétricos
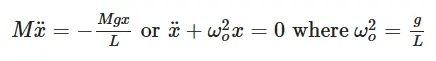
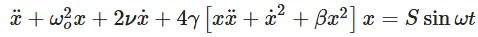
Para facilitar uma compreensão racional da ressonância de Rife, começaremos analisando as propriedades de um sistema simples e familiar. Um pêndulo é composto apenas por uma massa M, suspensa em um ponto fixo por meio de uma corda de comprimento constante L. A Figura 11 ( a) mostra que um deslocamento angular θ em relação à vertical implica um deslocamento horizontal x = L sen θ. A massa M está sujeita à força gravitacional F = Mg. Sua componente tangencial F sen θ = Mgx/L é proporcional a x, mas oposta. Essa força restauradora tende a restabelecer o equilíbrio, mas, uma vez que o pêndulo começa a oscilar, ele tende a permanecer nesse estado de movimento. Para mostrar o porquê e tornar o raciocínio científico acessível a leigos, inclusive para generalizações posteriores, relembramos a lei de Newton. Ela afirma que o produto da massa M e sua aceleração instantânea x¨ é sempre igual à soma de todas as forças aplicadas. Quando o atrito do ar é desprezível, obtemos isso para pequenos deslocamentos angulares
Cada ponto indica uma derivação em relação à variável de tempo t. A solução desta equação é x(t)=Csin(ωot+φ) e contabilizam as oscilações livres. A frequência (angular) ω0 é determinada pelo valor da aceleração gravitacional local g e pelo comprimento L do pêndulo. Os valores da amplitude C e da fase φ dependem das condições iniciais. De fato, uma criança que está sentada em um balanço pode iniciar oscilações livres, empurrando com os pés no chão. Isso significa que x(0) = 0 e, portanto, φ = 0, mas a velocidade inicial x˙(0)=ωoC. A amplitude C depende então do impulso para iniciar a oscilação.
Se o atrito do ar fosse realmente insignificante, a amplitude C permaneceria constante. Na verdade, a oscilação é progressivamente amortecida, uma vez que a massa M é submetida a fricção do ar. Esta força de frenagem é proporcional à velocidade instantânea x˙ e depende da área de seção transversal. No entanto, as oscilações podem ser sustentadas por meio de um impulso no ritmo adequado. O tratamento matemático é simplificado para uma força motriz constantemente aplicada que oscila em alguma frequência ω com força constante S. A equação do movimento é então
Figura 11. (a) Parâmetros necessários para descrever o movimento de um pêndulo simples. (b) O pico para possíveis amplitudes de oscilação forçada é muito alto e estreito para baixo atrito.
Assim,
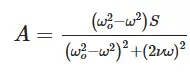
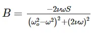
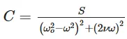
A solução (7) descreve oscilações forçadas que subsistem quando as condições iniciais não são mais relevantes, devido ao amortecimento. A massa M está oscilando na frequência imposta ω, mas as constantes A e B são determinadas por substituição da Equação (7) na Equação (6). Nós obtemos então
Por isso,
Por causa de (7), C2 = A2 + B2, A amplitude da oscilação forçada é, portanto,
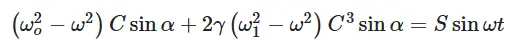
Essas expressões descrevem o fenômeno de ressonância normal . A ressonância de Rife é mais poderosa, mas a primeira relação (8) já é muito útil para entender o significado físico das ressonâncias. A amplitude C das oscilações forçadas é máxima quando o denominador é mínimo, isto é, quando sua derivada em relação a ω é zero e, portanto, quando ω = ων, onde ω2ν = ω2o – 2ν2. Quando o atrito é suficientemente pequeno (ν ≪ ωo), o gráfico de C(ω) exibe um pico simétrico centrado em ωo. A frequência de ressonância tem, portanto, o mesmo valor ω o que para oscilações livres. A Figura 11 (b) fornece o gráfico de C(ω) quando S = 1, ωo = 1 e ν = 0,02.
Em geral, a altura do pico é S/4ν2 e sua largura na metade da altura é igual a ν. A ressonância se torna, portanto, mais nítida para a diminuição do atrito. A amplitude C se tornaria infinita na ausência de atrito. A segunda relação (8) prevê a diferença de fase φ para diferentes valores de ω. Esta função é representada na Figura 12 (a) para ωo = 1 e ν = 0,02. A mudança de sinal significa que o oscilador é capaz de seguir o ritmo da força aplicada quando a frequência imposta é menor que ωo, mas fica para trás quando é muito rápida.
Agora estamos prontos para responder a uma pergunta simples: uma criança, sentada em um balanço, é capaz de sustentar as oscilações sem qualquer ajuda externa? Provavelmente, você mesmo encontrou a resposta por tentativa e erro. É divertido fazer descobertas e dominar uma situação sozinho. É ainda mais interessante e surpreendente entender por que isso é possível. A criança precisa se endireitar ao se aproximar dos pontos mais altos e se inclinar para trás ao se mover em direção ao outro lado. O comprimento efetivo L do pêndulo é, portanto, modificado, como mostrado na Figura 12 (b).
Figura 12. (a) A diferença de fase entre a oscilação forçada e a força aplicada. (b) Este tipo de variações periódicas do comprimento efetivo L do pêndulo produz um amplificador paramétrico.
A variação de L pode ser aproximada pela função
A variação do parâmetro L é adaptada à frequência real da oscilação, mas a equação de movimento (6) é então modificada. Ela rende
Para resolver esta equação, notamos que
Essa relação foi comprovada na trigonometria, sem mencionar sua importância física. O fato de o produto de duas funções oscilantes é equivalente a uma soma de duas funções oscilantes implica que a Equação (9) é equivalente a
A variação periódica do comprimento L produz assim duas forças motrizes oscilantes. O primeiro compensa exatamente o atrito quando ω = ωo e γ = 2ν/ωo. A outra força tem efeitos insignificantes, uma vez que a frequência 3ω está muito longe da frequência de ressonância. A criança pode assim sustentar as oscilações por suas próprias forças musculares. Maiores valores de γ não só compensarão as perdas de energia, mas também aumentarão a amplitude. O sistema torna-se então um amplificador paramétrico até que o equilíbrio seja alcançado. Isso pode ser facilmente verificado anexando uma pequena massa em uma corda que é parcialmente enrolada em torno de um lápis. Basta girar o lápis para a esquerda e para a direita no ritmo adequado. Os artistas de trapézio aplicam este método em escala humana.
Transpusemos esta teoria para explicar o misterioso fenômeno do relâmpago globular. Como os céticos simplesmente o atribuíram a ilusões, apesar dos numerosos depoimentos de testemunhas sérias, é útil mostrar como a explicação foi encontrada. O exemplo também é adequado para ilustrar o método de imaginar o que está oculto e verificar se as consequências lógicas concordam com todos os fatos observados. Assumimos que o relâmpago globular é semelhante a uma bolha de sabão, mas que a membrana é luminosa, pois contém ar ionizado. No entanto, a emissão de luz resulta de processos de recombinação. A luminosidade deve diminuir muito rapidamente, como para um relâmpago comum. A diferença é que a membrana permite movimentos coletivos dos elétrons livres em relação aos íons mais pesados dentro da membrana. A frequência ωo dessa “oscilação de plasma” é determinada pela densidade de elétrons livres, mas eles estão oscilando radialmente dentro da membrana. Isso torna a superfície externa alternadamente positiva e negativa. O relâmpago globular atrai, portanto, alternadamente elétrons e íons positivos que estão presentes no ar ambiente próximo à sua superfície. Isso não apenas reabastece o estoque de partículas carregadas, mas também modula a frequência de oscilação, como na Equação (9). Isso leva a auto-oscilações. Elas são sustentadas sem a necessidade de excitação constante por um campo elétrico oscilante de origem externa.
Como podemos testar a validade dessa explicação? A resposta é que ela explica observações aparentemente misteriosas. De fato, os raios globulares geralmente se movem de maneira aparentemente errática. Podemos agora “ver mentalmente” que eles são constantemente atraídos para a maior densidade de partículas carregadas no meio ambiente. Eles se comportam assim como um ser vivo que sobrevive alimentando-se. Além disso, os raios globulares podem desaparecer repentinamente no ar, como se a luz tivesse se apagado. Isso se deve à entrada em uma região onde o ar ambiente não estava suficientemente ionizado. Também pode acontecer que os raios globulares explodam, mesmo com muita violência. A causa invisível é uma ionização localmente maior do ar ambiente, que levou à amplificação paramétrica fatal. Embora esta tenha sido uma digressão, é útil para entender uma característica essencial da ciência e estar preparado para outra aventura intelectual. Ela diz respeito à destruição de vírus e outros micróbios por meio de ressonâncias, mas eles são bastante especiais.
4.5- A Ressonância Peculiar de Picos de Vírus
A analogia com a quebra de uma taça de vinho é útil como uma primeira aproximação. Ela começa também com a determinação da frequência de ressonância e um cantor experiente é capaz de produzir uma onda sonora precisamente da mesma frequência. Com instrumentação de laboratório, podemos provar que existem várias possíveis e selecionar uma dessas frequências para produzir uma ressonância. Os picos também podem ser definidos em oscilações forçadas, mas a ressonância resultante é mais poderosa do que as ressonâncias normais. A Figura 13 (a) mostra o contorno dos picos do vírus Corona, de acordo com dados obtidos por meio de crioeletromicrografia. O pico é normalmente reto e sabemos que sua parte superior é carregada negativamente. A Figura 13 (b) reduz o pico aos seus elementos essenciais. É então semelhante a um balanço que é implantado em um corpo maior, mas pode ser dobrado, quando sua ponta efetiva
Figura 13. (a) A forma global de um pico do vírus Corona em seu estado normal. (b) A força aplicada produz um deslocamento lateral e permite uma ressonância poderosa.
A massa M0 é submetida a uma força lateral F. Ela produz, então, um deslocamento x em relação ao eixo de simetria. Como ele varia para uma força oscilante?
Felizmente, a equipe de Friswell já estabeleceu em 2012 a equação de movimento para coletores de energia. Eles consistem em uma viga elástica homogênea que carrega uma massa de ponta e é implantada em uma carruagem. Ela é colocada em movimento por oscilações aleatórias de uma ponte e a energia cinética resultante é transformada por detectores em energia elétrica. Adaptamos sua equação para descrever possíveis vibrações de picos de vírus. A diferença é apenas que sua base permanece fixa, enquanto a força oscilante F é aplicada diretamente à massa da ponta Mo. Embora a haste do pico não seja homogênea, podemos manter o modelo de um feixe uniforme definindo valores médios. No entanto, o pico é cercado por um fluido em vez de ar e, portanto, sujeito a atrito viscoso. A equação de movimento é então
Onde
A massa efetiva Mo é então definida pela massa real da ponta M, o comprimento L da viga e sua densidade de massa média μ. Também é necessário levar em conta o momento de inércia I da ponta em relação ao ponto fixo. A rigidez da viga é determinada principalmente pelo coeficiente k, que depende do módulo E de Young do material constituinte, do comprimento L do balanço e de seu momento de inércia I. Para coletores de energia com uma viga muito flexível, os pesos da massa da ponta M da viga reduzirão a força de restauração. Isso permite duas posições de equilíbrio laterais ao longo de uma determinada direção. Os termos não lineares da Equação (11) levam então a um comportamento caótico, onde a massa da ponta pode executar pequenas oscilações em torno de uma das possíveis posições de equilíbrio, mas também passar de um lado para o outro. De fato, mudanças muito pequenas da posição instantânea e da velocidade em momentos críticos produzirão movimentos qualitativamente diferentes. Para picos, cercados por um fluido, podemos desprezar os pesos devido à flutuabilidade, mas os efeitos não lineares permanecem importantes. Na verdade, a equação de movimento (11) é reduzida a
O pico não se comporta simplesmente como um pêndulo invertido, uma vez que a Equação (6) é generalizada. Os termos não-lineares dependem dos valores instantâneos do deslocamento x, a velocidade x˙ e a aceleração x¨. Quando a massa da ponta é dominante, I ≈ ML 2 e M o ≈ 3,467 M. Medindo o deslocamento x nas unidades L = 1, obtemos então γ=0,110 e β=0,532ω2o. Uma vez que ocorrem oscilações forçadas na frequência ω imposta
O valor de φ depende de ν, mas quando α=ωt+φ, nós o atemos sempre
Os termos não-lineares em Equação (12) são novamente equivalentes a adicionar duas forças. Eles oscilam nas frequências ω e 3ω. O primeiro modifica a força aplicada e a segunda força pode ser negligenciada, uma vez que a frequência 3ω está muito longe da ressonância. Para se concentrar em características essenciais para a ressonância, assumimos que o atrito é insignificante (ν = 0 e φ = 0). A amplitude C das oscilações forçadas é então determinada pela Equação (12), que produz
Na verdade,
e
. A amplitude C da oscilação forçada é assim determinada pela equação cúbica
Assim,
Sem efeitos não lineares, obtemos a ressonância normal . Corresponde a (8), mas é mais simples, pois ν = 0. É representado pelo gráfico preto na Figura 14 (a) e representa a amplitude real das oscilações forçadas com uma mudança de sinal abaixo e acima da frequência de ressonância. Difere da Figura 11 (b), que considerou apenas a magnitude de C(ω) quando ν = 0,02, enquanto o sinal foi determinado pela Figura 12 (a). Efeitos não lineares modificam a resposta dos picos, uma vez que a Equação (13) permite 3 soluções possíveis e, em particular, para
Figura 14. (a) A amplitude das oscilações forçadas de picos seria Co(ω) sem efeitos não lineares. A frequência de ressonância é então ωo = 1. Os efeitos não lineares permitem auto-oscilações, caracterizadas por C1(ω). (b) Isso leva a uma sinergia quando é combinado com excitação constante e produz então C(ω).
Esperávamos, é claro, que sem excitação não houvesse resposta, mas, devido a efeitos não lineares, os picos são capazes de produzir uma força motriz que produz auto-oscilações. Isso é semelhante ao que aconteceu com um pêndulo, quando seu comprimento efetivo foi modificado periodicamente, mas a razão é diferente. Agora, ele não compensa o atrito, já que consideramos até mesmo o caso em que ν = 0. A rigidez dos picos permite que eles oscilem por si mesmos, mas apenas em um domínio de frequência limitado, uma vez que C2 tem que ser positivo para produzir um valor real para a amplitude C. É necessário que ω1 ≤ ω ≤ ωo, A função resultante C1( ω ) é representada pela curva vermelha na Figura 14 (a). Ela define a amplitude da auto-oscilação e diverge quando ω = ω1 ≈ 0,9ω0. Há uma ressonância, mas em uma frequência menor do que a ressonância normal. A equação (13) nos diz o que acontece quando o pico é constantemente submetido a uma excitação de força S, oscilando em alguma frequência dada ω. A ressonância normal é então modificada, uma vez que Co(ω) tem que ser substituída por uma função C(ω) que é representada na Figura 14 (b). Ela só pode ser definida por soluções reais de (13). Isso produz 3 curvas representadas em cores diferentes. Elas são simultaneamente possíveis em um domínio de frequência muito pequeno (de 0,8933 a 0,89621 quando ω0 = 1).
O tratamento rigoroso deste problema foi necessário devido a contestações anteriores. Também é instrutivo do ponto de vista teórico, pois ilustra o mecanismo geralmente oculto dos sistemas não lineares. Além disso, é e deve ser de grande importância prática. Agora podemos colher os frutos. Medimos deslocamentos em unidades L = 1, mas quando a massa M é dominante, o momento de inércia I é proporcional a L2. O valor de ω21 é, portanto, proporcional a 1/L. A frequência de ressonância é maior para picos curtos, uma vez que são mais rígidos. No entanto, γ ≈ 0,11/L2. A amplitude das oscilações forçadas é, portanto, proporcional a L2S e maior para picos longos do que para curtos. Além disso, há apenas uma frequência de ressonância para cada tipo particular de micróbios, de acordo com as medições de Rife. Uma vez que seu valor ω1 não depende da força S da força aplicada, é suficiente determinar ω1 para uma força particular S, embora valores maiores de S aumentem a amplitude das oscilações forçadas. Descobertas empíricas podem fazer sentido, é claro, sem entender o mecanismo subjacente. Então, é necessário apenas verificar se os fatos observados são confiáveis. Quando se descobre que são reais, eles precisam ser explicados, mas isso requer outros métodos e pode ser adiado.
4.6- O Mecanismo de Destruição do Micróbio Alvo
Construir uma teoria consiste em escolher uma hipótese plausível e deduzir consequências lógicas. Mesmo uma teoria correta só é válida quando suas previsões concordam com todos os fatos conhecidos e com verificações experimentais posteriores. A Figura 15 (a) representa um balanço em oscilação forçada a uma frequência ω próxima à frequência de ressonância. Quando ω = ω1, a amplitude C da oscilação
Figura 15. (a) As oscilações forçadas de um espigão ou pili. (b) Na ressonância, é extraído e cria um orifício na membrana que destrói o micróbio por extrusão de seu conteúdo.
torna-se quase infinita, mesmo quando o atrito não é totalmente desprezível. A ressonância implicaria, portanto, um enorme estiramento de picos ou pili, se fossem solidamente implantados na membrana ou em qualquer estrutura equivalente. Normalmente, isso causaria deformações plásticas e, eventualmente, fratura, mas isso é substituído pela extração da membrana e pela criação de um buraco.
Isso causa a expulsão do conteúdo do vírus, conforme representado na Figura 15 (b). O vírus é definitivamente destruído. Lembramos que os picos são fixados apenas pela cauda hidrofílica de sua espinha dorsal, representada em verde. Essa fixação geralmente é suficiente, mas não segura, como pode ser alcançada por meio de parafusos e porcas. Esse sistema foi inventado na Antiguidade por volta de 400 a.C. e reconheceu-se que o parafuso precisa ser bem apertado. A explicação é que o atrito seco entre superfícies imóveis é maior que o atrito cinético e aumentado pela pressão. Essa percepção surgiu muito mais tarde e exigiu descobertas repetidas (por da Vinci, Amontons e Coulomb, respectivamente por volta de 1500, 1700 e em 1785). A fixação dos picos é melhorada pela implantação tripla, mas não o suficiente para resistir à frequência de ressonância. Até mesmo árvores podem ser desenraizadas por ventos fortes, apesar de suas raízes distribuídas.
Esta teoria também se aplica aos pili, que cobrem a superfície de bactérias e nanobactérias. Como eles carregam cargas elétricas, eles também podem ser colocados em vibrações forçadas por um campo elétrico oscilante. Eles se comportam como balanços que podem ser dobrados elasticamente, mas devido a efeitos não lineares, eles permitem auto-oscilação e amplitudes extremamente grandes de oscilação em sua frequência de ressonância ω1. A criação de um buraco e a destruição de micróbios podem ser observadas. O vídeo de Holland mostra até mesmo o abaulamento local da membrana de bactérias antes da erupção explosiva. Isso significa que um grupo de pili estava envolvido em um lugar, onde o campo elétrico era perpendicular a essas estruturas. O abaulamento começou também no lado oposto, onde o campo elétrico também é efetivo. Além disso, os micróbios são imobilizados antes de se quebrarem, uma vez que a função propulsora dos pili já está perturbada. Não depende apenas de flagelos motorizados.
Os sofisticados picos dos vírus são armas altamente eficientes, mas possuem uma fraqueza inerente que pode ser explorada quando estamos cientes dessa possibilidade. Embora os pili de bactérias e nanobactérias tenham outras funções, eles também levam à destruição total, sem sobreviventes que possam iniciar mutações seguras. Basta impor uma frequência precisamente igual à frequência de ressonância. Foi um erro enorme afirmar que os fatos observados eram falsos, mesmo sem verificação, pois privou a humanidade de utilizar um método simples e seguro para combater doenças, pragas e até mesmo o câncer.
Rife descobriu não apenas que as bactérias BX e BY estão envolvidas no câncer, mas também que elas estão proliferando após a radioterapia. Isso merece atenção especial. Foi redescoberto que campos elétricos oscilantes podem ser usados para terapia do câncer. Um possível mecanismo foi proposto, mas ainda é hipotético e deve ser reexaminado em um contexto mais amplo. Como as transformações pleomórficas são reversíveis, é plausível que o número total de pili seja conservado na redução de tamanho. Sua densidade de superfície seria então aumentada para nanobactérias e explicaria por que elas se tornam mais virulentas. No entanto, elas permanecem vulneráveis às ressonâncias de Rife.
Deve-se notar que um balanço, constituído de um fio de aço, também permite outro modo de oscilação, onde um nó é criado perto da extremidade livre. No entanto, a frequência de ressonância é significativamente maior e esse tipo de deformação pode ser excluído para picos de vírus. Mencionamos também que é possível usar luz UV para desinfetar superfícies. Lâmpadas de mercúrio de baixa pressão produzem luz UVC a 254 nm. Ela é absorvida pelo RNA e produz defeitos locais, mas esse método só é aplicável a vírus que são expostos diretamente a essa radiação em uma superfície, em gotículas de aerossol ou filmes líquidos muito finos. O FDA emitiu um alerta, uma vez que a luz UVC danifica a pele humana e é perigosa para os nossos olhos. O método de Rife não é perigoso e eficiente para destruir micróbios virulentos em qualquer lugar dentro do nosso corpo.
5. Resumo e Conclusões
Rife provou que os microscópios ópticos permitem uma ampliação e resolução muito maiores do que se supunha. Como ele mesmo construiu vários supermicroscópios com métodos puramente clássicos, sua criatividade científica e sua habilidade artesanal merecem reconhecimento e respeito. Com seus instrumentos, ele pôde observar claramente que, quando as bactérias são expostas ao estresse, elas reduzem seu tamanho. Elas retêm apenas o que é essencial para sobreviver, mas são mais agressivas. Naessens também provou a realidade do pleomorfismo, mas algumas autoridades não gostaram disso. Declararam que esses pioneiros eram charlatões, mas se recusaram a verificar se os fatos relatados eram reais ou não. Essa atitude é mais do que estranha.
Além disso, Rife já havia descoberto, há cerca de 100 anos, que bactérias e nanobactérias podem ser destruídas por ressonância. Seu fanotron era um instrumento engenhoso que produzia o campo elétrico necessário por meio da radiação de frenagem. Em vez de emitir ondas eletromagnéticas em todas as direções por meio de uma antena, como Hertz fazia e é comum em radiodifusão, seu sistema gerava um feixe local de ondas eletromagnéticas. A destruição de bactérias por ressonância já era observável com microscópios ópticos convencionais, mas Rife também conseguia observar nanobactérias em explosão. Na verdade, ele teve que perseverar por mais de uma década para tornar esses minúsculos micróbios visíveis. Ele então provou que alguns deles estão presentes em tecido cancerígeno e que, após serem cultivados, também causam câncer. Ele determinou a frequência de ressonância para a destruição direcionada de vários micróbios. Esses valores foram confirmados por dois colaboradores, usando equipamentos diferentes.
A eficácia de seu método para curar o câncer foi clinicamente testada, mas mesmo esses resultados foram declarados falsos, pois exigiam a modificação de postulados acalentados. Para aqueles que tinham o poder de esmagar Rife, não importava que os resultados relatados fossem verdadeiros. Rife foi processado. Seus documentos foram roubados. Instrumentos foram destruídos e todos os vestígios de suas realizações foram erradicados dos registros médicos oficiais. Isso foi profundamente injusto, verdadeiramente anticientífico e prejudicial ao sistema de saúde mundial.
Resolvemos o quebra-cabeça científico básico com rigor matemático, considerando que picos de vírus, bem como pili de bactérias e nanobactérias, podem ser colocados em oscilação forçada. Efeitos não lineares tornam a ressonância mais forte e nítida do que as usuais. Existe apenas uma frequência de ressonância para cada tipo específico de micróbio. Ela depende do comprimento das estruturas oscilantes e, portanto, é específica. Esta teoria é confirmada experimentalmente e não deixa nenhuma razão racional para negar a possibilidade de destruição direcionada de micróbios. O autor deste estudo não tem qualquer interesse financeiro em uma implementação geral deste método. Sua preocupação é meramente a verdade, a justiça, mas também a redução de sofrimento e morte desnecessários. Outras pessoas e instituições precisam agora seguir na direção apontada por Rife.
A pandemia do coronavírus e suas implicações sociais devem alertar todos para a existência de um método biofísico diferente do bioquímico usual, mas eficaz, seguro e rapidamente adaptável. Basta determinar a frequência de ressonância adequada com muito cuidado, o que pode ser feito com equipamentos baratos e por meio de observação microscópica direta. Mesmo a ameaça constante de mutações imprevisíveis pode ser rapidamente combatida. O tratamento dos pacientes requer apenas alguns minutos, em intervalos de três dias. Devido à ressonância nítida, esse método é seletivo e pode eliminar efeitos colaterais quando controlado objetivamente, como carros e trânsito, por exemplo.
Há também evidências crescentes de que nosso precioso arsenal de antibióticos está em perigo. Múltiplas resistências antibacterianas estão aumentando. Os Centros de Controle e Prevenção de Doenças dos EUA concluíram já em 2015 que “esforços coordenados para implementar novas políticas, renovar os esforços de pesquisa e buscar medidas para gerenciar a crise são extremamente necessários”. Acreditava-se que isso “exigiria um investimento considerável de recursos humanos e financeiros”, mas isso não é verdade para o método de Rife. Basicamente, ele só exigia a mudança de alguns hábitos de pensamento.
Temos que insistir que o dogmatismo e a concentração de poder colocam em risco o progresso científico ao bloquear a liberdade de pensamento. Quando guiado pela observação da realidade e pela análise racional, é mais eficiente do que a ideologia, mas a ditadura e o uso imprudente do poder são sempre uma tentação. Neste contexto, temos que mencionar a pesquisa da química russa Tamara Lebedeva. Ela fez pesquisas intensivas sobre parasitas tricomonades e provou que eles podem causar câncer. Sua taxa de reprodução foi aumentada pela radioterapia, mas o trabalho de Lebedeva não foi reconhecido pelas autoridades médicas. Alfons Weber estudou o impacto no câncer de protozoários causadores de malária. Ele publicou seus resultados em 1967 e prontamente perdeu sua aprovação como médico. Agora está parecendo que há conexões entre malária e câncer. O parasita plasmódio está envolvido em ambos os campos e a fertilização cruzada na medicina deve ser encorajada. A característica comum da pesquisa de Lebedeva e do Dr. Weber foi considerar que o câncer é uma doença infecciosa. Temos que acrescentar que esses tipos de parasitas não são a única causa possível de câncer, mas seus efeitos também devem ser investigados.
Para fornecer um exemplo concreto e ainda atual de preconceitos tenazes relacionados à medicina, mencionamos que o Dr. Jacques Benveniste provou experimentalmente a existência da “memória da água” na década de 1980. No entanto, foi declarado (até mesmo por uma revista científica mundialmente famosa) que isso é impossível. Essa alegação baseava-se na ideia aparentemente óbvia de que, quando moléculas biologicamente ativas são repetidamente dissolvidas em água, elas não podem mais ser ativas quando todas elas foram eliminadas. Como Benveniste descobriu que a solução final produzia o mesmo efeito como se essas moléculas ainda estivessem presentes, esse fato exigia uma explicação. Do ponto de vista científico e humano, é chocante que se tenha aceitado a ideia de que o Dr. Benveniste e sua equipe eram meras vítimas de uma ilusão. O verdadeiro problema era verificar se as moléculas ativas poderiam ser substituídas por substitutos, resultantes da estruturação da água. É realmente impossível que a agitação térmica de moléculas de água no estado líquido possa causar a estruturação de moléculas de água de acordo com o modelo inicial?
Como isso diz respeito à física da matéria condensada, tentamos resolver esse problema e publicamos em 2018 uma explicação racional. Como as moléculas de água são dipolares, elas podem constituir cristalitos muito densos, onde todos esses dipolos têm a mesma orientação. Provamos que elas são esféricas e tão pequenas que não poderiam ser observadas com microscópios ópticos padrão. Essas nanopérolas são formadas pelo campo elétrico de partes carregadas de moléculas biologicamente ativas. Sendo também dipolares, essas “pérolas de água” constituem cadeias, onde são colocadas em rotação na frequência da parte carregada vibrante das moléculas ativas. A onda estacionária resultante limita o comprimento dessas cadeias, impedindo o crescimento posterior. Como o comprimento dessas cadeias depende da frequência de oscilação da parte carregada das moléculas ativas, elas se tornam portadoras de informações relevantes. Sua existência é real.
Eles são até multiplicados por diluições sucessivas, sempre acompanhadas de agitação vigorosa, uma vez que algumas cadeias são então quebradas, mas são reconstituídas pelo campo elétrico oscilante da maioria das cadeias intactas. Este processo produz numerosos substitutos eficientes das moléculas ativas. Ele explica também cerca de uma dúzia de outras observações experimentais, feitas entretanto. Ele explica até mesmo a homeopatia, que está atualmente sob duro ataque por aqueles que afirmam que esses produtos podem meramente agir como placebos. Sem entender o mecanismo real, é mais difícil abandonar preconceitos, mas é surpreendente que até mesmo um “Conselho Consultivo Científico” de alto nível tenha participado do lobby para eliminar a homeopatia por procedimentos legais. Ideologia e interesses financeiros podem até mesmo anular procedimentos científicos normais.
Este fato deve ser combinado com evidências objetivas de que as indústrias farmacêuticas estão radical e imprudentemente orientadas para grandes lucros de forma capitalista. Esta situação terrível foi recentemente documentada por Luc Hartmann e mostra que a Big Pharma está fora de controle. Isso nem sempre é verdade, é claro, mas de acordo com autoridades confiáveis, elas podem indiretamente pagar instituições que devem avaliar a eficiência, bem como os efeitos colaterais já relatados. As autoridades políticas e legislativas devem reagir urgentemente para evitar mais escândalos e injustiças flagrantes.
Rife fez uma grande descoberta. Apenas explicamos por que fatos aparentemente inacreditáveis, mas observados, são verdadeiros. Agora, cabe a outras pessoas e instituições prosseguir. O rápido desenvolvimento de vacinas merece elogios, mas agora há muito mais em jogo do que a proteção de impérios industriais já gigantescos. Apelamos, portanto, à Organização Mundial da Saúde, a todos os Ministros da Saúde e Governos, bem como às Nações Unidas, para que iniciem e organizem também outra maneira de lidar com o sofrimento e a morte desnecessários. Isso é possível e urgentemente necessário.
Agradecimentos
O autor quer agradecer ao Dr. Med Jens Wurster por informá-lo sobre o trabalho de Rife e muitas trocas interessantes de ideias, bem como um árbitro cuidadoso e desconhecido para comentários construtivos.
Os conflitos de interesse
O autor não declara conflitos de interesse quanto à publicação deste artigo.
Referências
| 1[1] A que é | Lynes, em B. (1987) A cura do câncer que funcionava! Cinquenta anos de supressão. BioMed Publishing Group, South Lake Tahoe (em inglês). |
| 2[2] | Mestres, B.R. (2010) O desenvolvimento da microscopia de fluorescência. Biblioteca Online de Wiley. https://doi.org/10.1002/9780470015902.a0022093 |
| 3) E. | Anonymous (2017) O Microscópio Universal de Royal Rife (e Por que não existe). Blog. http://sustentável-nano.com/2017/08/18/royal-rifes-universal- microscópio-e-porquê-pode-existir |
| 4() ) | O Wade, G. (2014) O primeiro microscópio Rife e a capacidade ganha para observar vírus e a estrutura fina de bactérias com um microscópio óptico. https://www.rife.de/observe-viruses-and-bacteria.html |
| 5[5] | Kungliga Vetenskapsakademien (2014) O Prêmio Nobel de Química 2014. Antecedentes científicos. https://www.nobelprize.org/prizes/chemistry/2014/advanced-information |
| 6[6] | Seidel, R.E. e Inverno, M.E. (1944) Jornal do Instituto Franklin, 237, 103-130. http://www.pulsedtechresearch.com/wp- conteúdo/uploads/2013/04/Novo-Microscópios-SeidelWinter.pdf https://doi.org/10.1016/S0016-0032(44)90203-6 |
| 7[7] | BRMI (2018) História – Dr. O Royal Raymond Rife Jr. https://www.brmi.online/royal-raymond-rifeTradução |
| 8[8] | Comparet, B.L. (1960) Perguntas e Respostas. Rife Research Europe: Uma entrevista com Rife. https://www.rife.de/an-entrevista-com-ifesto.html |
| 9[9] | Neuman, R.O. e Mayer, M. (1914) Atlas und Lehrbuch wichtiger tierischer Parasiten und ihrer ?bertr?ger. https://jamanetwork.com/journals/jama/fullarticle/438846 |
| 10[10] | Kendall, A.K. e Rife, R.R. (1931) Califórnia e Medicina Ocidental, 35, 409-411. https://europepmc.org/article/med/18741967 |
| 11[11] | San Diego Union (1929) Local Man Bares Maravilhas da Vida Germe. Novos aparelhos revelam o Universo do Micro-bedo oculto para o olho humano. https://rifevideos.com/local_man_bares_wonders_of_germ_life.html |
| 12[12] | Rife, R.R. (1953) História do desenvolvimento de um tratamento bem sucedido para o câncer e outros vírus, bactérias e fungos. Laboratório de Investigação. Data, San Diego. https://www.rife.de/files/history_rife_cancer_treatment.pdf |
| 13[13] | Rosenow, E.C. (em inglês) (1932) Ciência, 76, 192-193. https://www.rife.de/observations-with-the-rife-microscope.html https://doi.org/10.1126/science.76.1965.192 |
| 14[14] | Hess, D.J. (1996) Antropologia Médica Trimestral, 10, 657-674. https://doi.org/10.1525/maq.1996.10.4.02a00140 |
| 15[15] | Rife, R. R. e Crane, J. (1950) O microscópio universal. RifeVideos.com (em inglês). https://www.rifevideos.com/dr_rife_talks_with_john_crane_about_his_universal_microscope.html |
| 16[16] | Diabos, S.W. (Redução do Nobel). https://www.youtube.com/watch?v-9BzGB1SUPGQ https://www.nobelprize.org/uploads/2018/06/hell-lecture.pdf |
| 17[17] | Vangindertael, J., et al. (2018) Métodos e Aplicações em Fluorescência, 6, ID do artigo: 022003. https://doi.org/10.1088/2050-6120/aaae0c https://www.chem.kuleuven.be/pd/static/publications/Vangindertael2018.pdf |
| 18[18] | Bonhams (2009) Um microscópio excepcionalmente raro de Rife. https://www.bonhams.com/leilões/16871/lotelovo/113 |
| 19[19] | Elswick, S.R. As maravilhas surpreendentes de Gaston Naessens. Super microscópios e tratamentos de câncer suprimidos. Nexus Magazine (em inglês). http://wwwhale.to/v/naessens.html |
| 20[20] | Naessens, G. (2010) O somatoscópio. https://www.youtube.com/watch?v-KGJW94ciq4c |
| 21[21] | Claxton, N.S., et al. (2006) Microscopia, Confocal. Wiley, Hoboken (em inglês). https://pt.wikipedia.org/wiki/Confocal_microscopy https://doi.org/10.1002/0471782777.emd291 |
| 22[22] | Pássaro, C. A perseguição e o julgamento de Gaston Naessens. Tiburon-Kramer (em inglês). 336 p. 1 p. |
| 23[23] | BRMI (que não é o BMI). História – Antoine Béchamp. https://www.biologicalmedicineinstitute.com/antoine-bechamp |
| 24[24] | Perrot, A. e Schwarz, M. (2014) Pasteur et Koch, des duel de géants dans le monde des micróbios. Odile Jacobs (em inglês). https://www.youtube.com/watch?v-YuC3T3eesDU |
| 25[25] | – O Henri, V. (1914) Comptes rendus de l’Académie des Sciences, 159, 340-343, 413-415. https://pubs.rsc.org/pt/content/articlelanding/1914/ca9140601112/Abstract! |
| 26[26] | Almquist, E. (1922) Jornal de Doenças Infecciosas, 31, 483-493. https://doi.org/10.1093/infdis/31.5.483 |
| 27[27] Em que i ( | Naessens, G. (2010) O Somatídeo e seu ciclo de estágio 16. https://www.youtube.com/watch?v.ttl5NBo3_Z4 |
| 28[28] | Klieneberger-Nobel, E. (1951) Avaliações de Microbiologia e Biologia Molecular, 15, 77-103. https://mmbr.asm.org/content/mmbr/15/2/77.full.pdf https://doi.org/10.1128/MMBR.15.2.77-103.1951 |
| 29[29] | Kurath, G. e Morita, R.Y. (1983) Microbiologia Aplicada e Ambiental, 45, 1206-1211. https://doi.org/10.1128/AEM.45.4.1206-1211.1983 |
| 30[30] () [30] | Folk, R.L. (em inglês) Interação entre Bactérias, Nannobérias e Precipitação Mineral em Termas da Itália Central. https://www.erudit.org/pt/journals/gpq/1994-v48-n3-gpq1907/033005ar.pdf |
| 31[31] | Kajander, E.O. e Ciftcioglu, N. (1998) Aceedings da Academia Nacional de Ciências dos Estados Unidos da América, 95, 874-879. https://doi.org/10.1073/pnas.95.14.8274 |
| [32] | Ciftcioglu, N., et al. (2006) Jornal de Medicina Investigativa, 54, 385-394. https://doi.org/10.2310/6650.2006.06018 |
| 33[33] | Cantwell, A. (1990, 1995) O micróbio do câncer. O assassino escondido em câncer, AIDS e outras doenças imunológicas. Aries Rising Press, Los Angeles, 281 p. |
| 34[34] | Cantwell, A. (2005) Para as Mulheres contra o Câncer. Aries Rising Press, Los Angeles, 281 p. |
| [35] | Wainwright, M. (em inglês) (1997) Perspectivas em Biologia e Medicina, 407-414. https://doi.org/10.1353/pbm.1997.0038 |
| [36] | Kumar, C.A., et al. Medicina oral e radiologia, 23, 354-359. https://doi.org/10.5005/jp-journals-10011-1168 |
| [37] | Schlieper, G., et al. Transplante de diálise de nefrologia, 26, 3436-3439. https://doi.org/10.1093/ndt/gfr521 |
| [38] | Ciftcioglu, N. e McKay, D. (2010) Pesquisa Pediátrica, 67, 490-499. https://doi.org/10.1203/PDR.0b013e3181d476ce |
| [39] | Cantwell, A. (A) (em inglês). https://livebloodonline.com/breast-cancer-causado-pleomorphic-bactérias |
| [40] | Duda, V.I., et al. (em inglês) Microbiologia, 81, 379-390. https://doi.org/10.1134/S0026261712040054 |
| [41] | Luef, B., et al. (2015) Comunicação da Natureza, 6, 6373. https://www.nature.com/articles/ncomms7372 https://doi.org/10.1038/ncomms7372 |
| [42] | Krotz, D. (em inglês) (2015) Primeira evidência detalhada de microscopia de bactérias no limite de tamanho mais baixo da vida. https://newscenter.lbl.gov/2015/02/27/ultra-small-bactérias |
| [43] | Mattman, L.H. (em inglês) (1974) Formas deficientes de parede celular: patógenos furtivo. CRC Press, Boca Raton, 448 p. https://doi.org/10.1201/b16928 |
| [44] | Ramijan, K., et al. (2019) Comunicação da Natureza, 9, Artigo No. 5164 (em inglês). https://www.nature.com/articles/s41467-018-07560-9.pdf |
| [45] | Claessen, D. e Errington, J. (2019) Tendências em Microbiologia, 5, 1025-1033. https://www.cell.com/tendências/microbiologia/pdf/S0966-842X(19)30192-1.pdf https://doi.org/10.1016/j.tim.2019.07.008 |
| [46] | Vassilatos, G. (em inglês) (2003) Ultra Microscópio e Raios de Cura: R. O Raymond Rife. Ciência perdida (ver Spears) http://customers.hbci.com/.wenonah/history/rife.htm |
| [47] | Crane, J., março, J., et al. O Relatório da Máquina Rife: Uma História dos Instrumentos e Frequências de Rife. 149 p. 149 p. (em inglês) http://www.royal-rife-machine.com/the_rife_machine_report.pdf |
| [48] | Spooky 2 (2018) Lista de Frequência de Rife. Compilado por Spooky2-mall .com, 2018. https://s6c2n9k7.stackpathcdn.com/download/spooky2rifequencylist.pd |
| [49] | Allegretti, M. (em inglês) (2018) As Propriedades Terapêuticas das Ondas EM. 154 p. |
| [50] | Dunn, H.H. (em inglês) (em inglês) Filme. https://www.rife.de/movie-new-eye-of-microscope-in-war-of-germs.html |
| [51] | Vídeos: Rife em suas palavras. A história da Royal Rife. https://www.rife.de/rife-related-videos.html |
| [52] | Rifevideos.com: 1939 Royal Rife Laboratory Film (John Crane, 35:34); Royal Rif em Suas Próprias Palavras (51:15); The Royal Rife Story (2.11:22). |
| [53] | Holanda, A. (Reuters) – Shattering Cancer with Resonant Frequencies. TEDx Talks (17:08). https:///www.youtube.com/watch?v ?1w0_kazbb_U |
| [54] | Terwange, D. e Bush, J. (Bing Bowls) Tibetano. https://core.ac.uk/download/pdf/4434335.pdf |
| [55] | Engenharia Prática (2018) Por que a Ponte Tacoma desmoronou. YouTube (8:48). |
| [56] | Dubost, G., et al. Ressonâncias acústicas teóricas de baixa frequência de várias antenas Rife-Bare. https://www.researchgate.net/publication/273886201 |
| [57] | Baladin, A.A. e Fonoberov, V.A. (2005) Jornal de Nanotecnologia Biomédica, 1, 90-95. https://doi.org/10.1166/jbn.2005.005 |
| [58] | ROard, P. e Meessen, A. (1977) Progresso em óptica, 50, 79-137. http://www.meessen.net/AMeessen/optical_properties_of_thin_metal_films.pd https://doi.org/10.1016/S0079-6638(08)70477-3 |
| [59] | Polk, C. e Postow, E. (1986) Manual CRC de Efeitos Biológicos de Campos Eletromagnéticos. Imprensa da CRC, Boca Raton. |
| [60] | Barry, J.M. (em inglês). A Grande Gripe: A História da Pandemia mais mortal da História. Penguin Books, em Londres. |
| [61] | CARR, C.M. e Kim, P.S. (1993) Cell, 73, 823-832. https://doi.org/10.1016/0092-8674(93)90260-W |
| [62] | Sriwilaaijaroen, N. e Suzuki, Y. Aprovação da Academia do Japão, Ser. B, 88, 226-249. https://doi.org/10.2183/pjab.88.226 |
| [63] | O Harrison, o S. (em inglês) Membrana de fusão viral. Parte 2. https://www.youtube.com/watch?v-qcepGvFUM38 |
| [64] | O Harrison, o S. (2015) Virologia, 479-480, 498-507. https://www.sciencedirect.com/science/article/pii/S004268221500183X https://doi.org/10.1016/j.virol.2015.03.043 |
| [65] | Saplakoglu, Y. (em inglês). (2020). https://www.livescience.com/coronavirus-spike-protein-structure.html |
| [66] | McAuley, J.L., et al. (2019) Fronteiras em Microbiologia, 10, 39-62. https://doi.org/10.3389/fmicb.2019.00039 |
| [67] | Kosik, I. e Yewdell, J.W. (2019) Vírus, 11, 346-364. https://doi.org/10.3390/v11040346 |
| [68] | Biswas, A., et al. (2020) Revisões críticas em Microbiologia, 46, 182-193. |
| [69] | Gaymard, A., et al. (2016) Microbiologia Clínica e Infecção, 22, 975-983. https://doi.org/10.1016/j.cmi.2016.07.007 |
| [70] | O Harrison, o S. (2015) Entrada de Vírus Não Envelopedo. https://www.youtube.com/watch?v–1tSBwE1Wuk |
| [71] | Chang, C., et al. (2019) Aceedings of the National Academy of Sciences of the United States of America, 116, 18041-18049. https://doi.org/10.1073/pnas.1907733116 |
| [72] | Meessen, A. (Direito de Bola: Bolhas de Oscilações Eletrônicas de Plasma). http://www.meessen.net/AMeessen/Ball-Lightning-Theory.pdf |
| [73] | Harvard Natural Science, Demonstrações de Palestras: Despejo de vinhos. https://sciencedemonstrations.fas.harvard.edu/presentações/shattering-wineglass |
| [74] | Wrapp, D., et al. (2020) Ciência, 367, 1260-1263. https://science.sciencemag.org/content/367/6483/1260 https://doi.org/10.1126/science.abb2507 |
| [75] | Litak, G., et al. (2012) Oscilações não lineares de um pêndulo invertido elástico. 4a Conferência Internacional IEEE sobre Ciência e Complexidade Não-linear, Budapeste, 6-11 de agosto de 2012, 113-116. http://litak.pollub.pl/20_nsc2012.pdf https://doi.org/10.1109/NSC.2012.6304737 |
| [76] | Kirson, E.D., et al. (2004) Disrupção da replicação de células cancerígenas por campos elétricos alternativos. Pesquisa do Câncer, 64, 3288-3295. |
| [77] | Miller, J. (em inglês) (2007) Campos elétricos têm potencial como tratamento do câncer. Hoje, 60 anos, 19. https://doi.org/10.1158/0008-5472.CAN-04-0083 https://physicstoday.scitation.org/doi/10.1063/1.2774085 |
| [78] | He?ling, M., et al. (2020) Doses de irradiação ultravioleta para a inativação do coronavírus. Controle de Higiene e Infecção GMS, 15, Doc08. https://www.egms.de/static/en/journals/dgkh/2020-15/dgkh000343.sht |
| [79] | https://www.fda.gov/medical-dispositivos/coronavírus-covid-19-and– dispositivos médicos/uv-lights-and-lamps-ultraviolet-c-radiation-desinfecção-e-coronavírus |
| [80] | Ventola, C.L. (em inglês) A crise da resistência aos antibióticos Parte 1 Causas e ameaças. Parte 2 Estratégias de Gestão e Novos Agentes. Farmacologia e Terapêutica, 40, 277-283. https://www.ncbi.nlm.nih.gov/pmc/artigos/PMC4378521 https://pubmed.ncbi.nlm.nih.gov/25987823/ |
| [81] | Lebedewa, T. und Driediger, E. (em inglês) Krebserreger Entdeckt. Driediger Verlag, Georgsmarienh. |
| [82] | Weber, A. (1969) ?ber die Ursache der Krebskrankheit. Verlag Parcus, em M?enchen. |
| [83] | Nordor, A.V. (2018) Biologia Aberta, 8, ID do artigo: 180127. https://www.ncbi.nlm.nih.gov/pmc/artigos/PMC62236 https://doi.org/10.1098/rsob.180127 |
| [84] | Meessen, A. (2018) Jornal de Física Moderna, 9, 2657-2724. https://www.scirp.org/pdf/JMP_2018122814230215.pdf (em inglês) https://doi.org/10.4236/jmp.2018.914165 |
| [85] | European Academies Science Advisory Council (2017) Produtos e Práticas Homeopáticas. https://easac.eu/fileadmin/PDF_s/reports_statements/EASAC_Homepathy_statement_web_final.pd |
| [86] | Hartmann, L. e Lasco, C. (2020) Big-Pharma Labos Tout-Puissants. Arte, TV. – Sept. 11, 2020. https://www.telez.fr/actus-tv/big-pharma-labos-tout-puissants-sur- arte-le-juteux-business-du-medicamento/ |
Fonte: https://www.scirp.org/journal/paperinformation?paperid=106157#f8



























